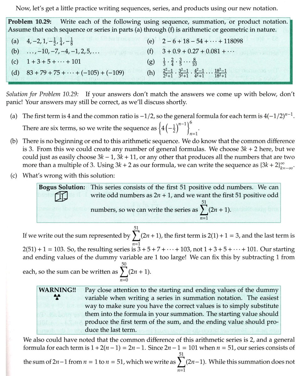
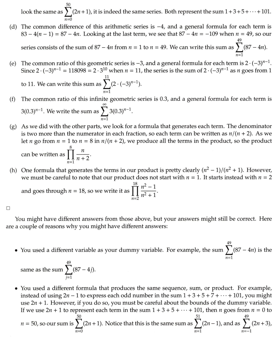
X
هنر حل مسئله: مقدمات
توابع نمایی و لگاریتم
توان های صحیح
توانهای کسری
ساده کردن عبارتهای رادیکالی
گویا کردن مخارج
لگاریتم ها
سوالات توابع نمایی و لگاریتم
پاسخ تمرین ها
مسائل و مسابقات
اعداد مختلط
ریشه مربعی 1-
اعمال حسابی اعداد مختلط
پاسخ تمرین ها
مسائل
معادلات خطی
معادله خطی چیست؟
یک معادله و یک مجهول
دو معادله و دو مجهول
مسائل کلامی
پاسخ تمرین ها
مسائل
نسبتها و تناسب
نسبت مستقیم و معکوس
محاسبه با نسبتها
ضریب تبدیل
درصد
پاسخ تمرین ها
مسائل
استفاده از اعداد صحیح
بخش پذیری
پایه
رقم یکان
حساب مانده ها
حقه ها
اعداد اول
مقسم های مشترک و غیر مشترک
پاسخ تمرین ها
مسائل
معادلات درجه دوم
معادله ی مربعی چیست؟
تجزیه معادلات مربعی
فرمول جواب های معادلات مربعی
تغییراتی در یک تم
جایگشت ها
جایگذاری ها
ریشه مربعی اعداد گنگ و موهومی
فراتر از معادلات مربعی
پاسخ تمرین ها
مسائل
تجزیه اعداد و محاسبات
تجزیه
محاسبات
پاسخ تمرین ها
مسائل
اعداد چه هستند
اعداد صحیح و گویا
کسرهای ساده شده و اعداد گنگ
اعداد مختلط و فراتر از آن
پاسخ تمرین ها
مسائل
مقدمه ای بر دوایر
پاسخ تمرین ها
زوایا
خط ، اشعه و پاره خط
رده بندی و اندازه گیری
زوایا و خطوط موازی
خم، پاره خط، برش و زاویه
زوایای بدست آمده از تقاطع خط و دایره
وظیفه سنگین اثبات
پاسخ تمرین ها
مثلث ها
رده بندی مثلث ها
اجزاء مثلث
نامساوی مثلث
قضیه فیثاغرس
مثلث های همنهشت
مثلث های متشابه
مقدمه ای بر مثلثات
مساحت مثلث
چند راهنمایی مفید
پاسخ تمرین ها
مسائل
چهارضلعی ها
مبانی
ذوزنقه
متوازی الاضلاع
لوزی
مستطیل و مربع
راهنمایی ها و مسائل
پاسخ تمرین ها
مسائل
چندضلعی ها
انواع چندضلعی ها
زوایا در چندضلعی ها
چندضلعی های منتظم
شش ضلعی های منتظم
پاسخ تمرین ها
مسائل
دنبال کردن زوایا
مسائل
مساحت ها
اشکال متشابه
قائده مشترک و ارتفاع مشترک
اشکال پیچیده
پاسخ تمرین ها
مسائل
قدرت مختصات دکارتی
برچسب گذاری صفحه
فایده مختصات چیست؟
مستقیم و باریک
نمودار خط
فرمول فاصله و معادله دایره
چهارراه ها
به زانو در آمدن
پاسخ تمرین ها
مسائل
قوت نقطه
مقدمه
اثبات قوت نقطه
پاسخ تمرین ها
مسائل
هندسه سه بعدی
صفحات، مساحت و حجم
کرات
مکعب ها و جعبه ها
منشور ها و استوانه ها
هرم ها و مخروط ها
چندوجهی ها
چگونه مسائل سه بعدی را حل کنیم
پاسخ تمرین ها
مسائل
تبدیلات
انتقال
دوران
تصویر آیینه ای
اعوجاج
لغزش
تغییرات بیشتر
اثبات تبدیلات
پاسخ تمرین ها
مسائل
نمونه مسائل هندسه
مسائل (1)
مسائل (2)
توابع
به ماشین خوش آمدید
رسم نمودار توابع
ورودی و خروجی
زوج و فرد
بعضی توابع خاص
قدر مطلق
جزء صحیح
چند ضابطه ای
تبدیل کردن یک تابع
پاسخ تمرین ها
مسائل
نامساوی ها
به چه کار آیند؟
نامساوی های خطی
نامساوی های مربعی
نامساوی های قدرمطلقی
یک نامساوی بدیهی
پاسخ تمرین ها
مسائل
عمل ها و رابطه ها
یک عمل چیست؟
خواص عمل ها
رابطه ها
پاسخ تمرین ها
مسائل
دنباله ها و سری ها
دنباله های حسابی
دنباله های هندسی
دنباله های بی نهایت
نماد جمع سری ها
دنباله ها
دنباله ها و میانگین
پاسخ تمرین ها
مسائل
یاد بگیریم بشماریم
چیزی برای یاد گرفتن هست؟
ضرب کردن
مثال: تعداد مقسم ها
محدودیت ها روی ضرب
جایگشت ها، ترتیب ها و فاکتوریل
با هم مخلوط کنیم
شمارش موضوع اشتباهی، قسمت 1
شمارش موضوع اشتباهی، قسمت 2
شمارش را جور دیگری انجام دهیم
قضیه بسط دو جمله ای
پاسخ تمرین ها
مسائل
آمار و احتمال
آمار
احتمال و درک روزمره
ضرب احتمالات
حالت بندی
احتمال عدم وقوع
چه انتظار داشتید؟
پاسخ تمرین ها
مسائل
مجموعه ها
چند تعریف
اعمال روی مجموعه ها
نمودار ون
زیر مجموعه ها
پاسخ تمرین ها
مسائل
اثبات کنید
کلام، کلام، کلام
تناقض
برعکس گزاره ها لزوما درست نیستند
استقراء ریاضی
اصل لانه کبوتری
قانع کننده اما غلط
پاسخ تمرین ها
مسائل
تیر خداحافظی
مسائل (1)
مسائل (2)
هنر حل مسئله: جبر متوسطه
تکنیک های مقدماتی حل معادلات
مقدمه
جداسازی
آموزش از طریق حل مسئله
تمرین ها
جای گذاری
آموزش از طریق حل مسئله
تمرین ها
حذف
آموزش از طریق حل مسئله
تمرین ها
دستگاه های بزرگتر معادلات خطی
آموزش از طریق حل مسئله
تمرین ها
جمع بندی
مسائل مروری
مسائل چالشی
مروری بر توابع
مقدمات تابع
آموزش از طریق حل مسئله
تمرین ها
ترسیم توابع
آموزش از طریق حل مسئله
تمرین ها
ترکیب
آموزش از طریق حل مسئله
تمرین ها
وارون توابع
آموزش از طریق حل مسئله
تمرین ها
جمع بندی
مسائل مروری (صفحه اول)
مسائل مروری (صفحه دوم)
مسائل چالشی
اعداد مختلط
مقدمه
حساب اعداد مختلط
آموزش از طریق حل مسئله
تمرین ها
صفحه مختلط
آموزش از طریق حل مسئله
تمرین ها
بخش های حقیقی و موهومی
آموزش از طریق حل مسئله
تمرین ها
ترسیم در صفحه مختلط
آموزش از طریق حل مسئله
تمرین ها
جمع بندی
مسائل مروری
مسائل چالشی
بیشتر بدانید!
معادلات درجه دوم
مقدمه
تجزیه عبارات درجه دوم
آموزش از طریق حل مسئله
تمرین ها
ارتباط برقرار کردن بین ریشه ها و ضرایب
آموزش از طریق حل مسئله
تمرین ها
مربع سازی
آموزش از طریق حل مسئله
تمرین ها
مبین
آموزش از طریق حل مسئله
تمرین ها
نابرابری های درجه دوم
آموزش از طریق حل مسئله
تمرین ها
جمع بندی
مسائل مروری (صفحه اول)
مسائل مروری (صفحه دوم)
مسائل چالشی (صفحه اول)
مسائل چالشی (صفحه دوم)
مقاطع مخروطی
مقدمه
سهمی ها
آموزش از طریق حل مسئله
تمرین ها
حل مسئله با سهمی ها
آموزش از طریق حل مسئله
تمرین ها
ماکسیمم و مینیمم عبارات درجه دوم
آموزش از طریق حل مسئله
تمرین ها
دوایر
آموزش از طریق حل مسئله
تمرین ها
بیضی ها
آموزش از طریق حل مسئله
تمرین ها
هذلولی ها
آموزش از طریق حل مسئله
تمرین ها
جمع بندی
مسائل مروری (صفحه اول)
مسائل مروری (صفحه دوم)
مسائل چالشی (صفحه اول)
مسائل چالشی (صفحه دوم)
تقسیم چندجمله ای ها
مقدمه
مروری بر چندجمله ای
آموزش از طریق حل مسئله
تمرین ها
آشنایی با تقسیم چندجمله ای ها
آموزش از طریق حل مسئله
تمرین ها
تقسیم مرکب
آموزش از طریق حل مسئله
تمرین ها
قضیه باقیمانده
آموزش از طریق حل مسئله
تمرین ها
جمع بندی
مسائل مروری
مسائل چالشی
ریشه های چندجمله ای ها (بخش اول)
مقدمه
قضیه عامل
آموزش از طریق حل مسئله
تمرین ها
ریشه های صحیح
آموزش از طریق حل مسئله
تمرین ها
ریشه های گویا
آموزش از طریق حل مسئله
تمرین ها
کران ها
آموزش از طریق حل مسئله
تمرین ها
ترسیم و قضیه اساسی جبر
آموزش از طریق حل مسئله
تمرین ها
کاربردهای جبری قضیه اساسی
آموزش از طریق حل مسئله
تمرین ها
جمع بندی
مسائل مروری (صفحه اول)
مسائل مروری (صفحه دوم)
مسائل چالشی
بیشتر بدانید!
ریشه های چندجمله ای ها (بخش دوم)
مقدمه
ریشه های گنگ
آموزش از طریق حل مسئله
تمرین ها
ریشه های غیرحقیقی
آموزش از طریق حل مسئله
تمرین ها
فرمول ویت
آموزش از طریق حل مسئله
تمرین ها
به کار بردن ریشه ها برای ساختن معادلات
آموزش از طریق حل مسئله
تمرین ها
جمع بندی
مسائل مروری (صفحه اول)
مسائل مروری (صفحه دوم)
مسائل چالشی (صفحه اول)
مسائل چالشی (صفحه دوم)
بیشتر بدانید!
تجزیه چندجمله ای های چندمتغیره
مقدمه
گروه بندی
آموزش از طریق حل مسئله
تمرین ها
جمع و تفریق توان ها
آموزش از طریق حل مسئله
تمرین ها
قضیه عامل برای چندجمله ای های چندمتغیره
آموزش از طریق حل مسئله
تمرین ها
جمع بندی
مسائل مروری (صفحه اول)
مسائل مروری (صفحه دوم)
مسائل چالشی (صفحه اول)
مسائل چالشی (صفحه دوم)
دنباله ها و سری ها
مقدمه
دنباله های حسابی
آموزش از طریق حل مسئله
تمرین ها
سری های حسابی
آموزش از طریق حل مسئله
تمرین ها
دنباله های هندسی
آموزش از طریق حل مسئله
تمرین ها
سری های هندسی
آموزش از طریق حل مسئله
تمرین ها
دنباله، نماد جمع زنی و ضرب
آموزش از طریق حل مسئله
تمرین ها
جمع و ضرب های تودرتو
آموزش از طریق حل مسئله
تمرین ها
جمع بندی
مسائل مروری (صفحه اول)
مسائل مروری (صفحه دوم)
مسائل چالشی (صفحه اول)
مسائل چالشی (صفحه دوم)
اتحادها، شگردها و استقرا
مقدمه
روش "Brute Force"
آموزش از طریق حل مسئله
تمرین ها
نسبت ها
آموزش از طریق حل مسئله
تمرین ها
استقرا
آموزش از طریق حل مسئله
تمرین ها
قضیه دوجمله ای
آموزش از طریق حل مسئله
تمرین ها
جمع بندی
مسائل مروری (صفحه اول)
مسائل مروری (صفحه دوم)
مسائل چالشی (صفحه اول)
مسائل چالشی (صفحه دوم)
نابرابری ها
مقدمه
کار کردن با نابرابری ها
آموزش از طریق حل مسئله
تمرین ها
نابرابری بدیهی
آموزش از طریق حل مسئله
تمرین ها
نابرابری حسابی-هندسی با دو متغیر
آموزش از طریق حل مسئله
تمرین ها
نابرابری حسابی-هندسی با متغیرهای بیشتر
آموزش از طریق حل مسئله
تمرین ها
نابرابری کوشی-شوارتز
آموزش از طریق حل مسئله
تمرین ها
ماکسیمم و مینیمم
آموزش از طریق حل مسئله
تمرین ها
جمع بندی
مسائل مروری (صفحه اول)
مسائل مروری (صفحه دوم)
مسائل چالشی
مسائل چالشی (صفحه دوم)
بیشتر بدانید!
توان و لگاریتم
مقدمه
مقدمات تابع نمایی
آموزش از طریق حل مسئله
تمرین ها
آشنایی با لگاریتم
آموزش از طریق حل مسئله
تمرین ها
اتحادهای لگاریتمی
آموزش از طریق حل مسئله
تمرین ها
استفاده از اتحادهای لگاریتمی
آموزش از طریق حل مسئله
تمرین ها
تعویض بین لگاریتم و توان
آموزش از طریق حل مسئله
تمرین ها
لگاریتم های طبیعی و فروپاشی نمایی
آموزش از طریق حل مسئله
تمرین ها
جمع بندی
مسائل مروری (صفحه اول)
مسائل مروری (صفحه دوم)
مسائل چالشی (صفحه اول)
مسائل چالشی (صفحه دوم)
رادیکال ها
مقدمه
به توان رساندن رادیکال ها
آموزش از طریق حل مسئله
تمرین ها
محاسبه عبارات شامل رادیکال ها
آموزش از طریق حل مسئله
تمرین ها
مزدوج رادیکالی
آموزش از طریق حل مسئله
تمرین ها
جمع بندی
مسائل مروری
مسائل چالشی
رده های ویژه توابع
توابع گویا و نمودار آن ها
آموزش از طریق حل مسئله
تمرین ها
معادلات توابع گویا و نابرابری ها
آموزش از طریق حل مسئله
تمرین ها
توابع زوج و فرد
آموزش از طریق حل مسئله
تمرین ها
توابع یکنوا
آموزش از طریق حل مسئله
تمرین ها
جمع بندی
مسائل مروری (صفحه اول)
مسائل مروری (صفحه دوم)
مسائل چالشی
بیشتر بدانید!
توابع قطعه به قطعه تعریف شده
مقدمه
آشنایی با توابع قطعه قطعه تعریف شده
آموزش از طریق حل مسئله
تمرین ها
قدر مطلق
آموزش از طریق حل مسئله
تمرین ها
ترسیم قدر مطلق
آموزش از طریق حل مسئله
تمرین ها
کف و سقف
آموزش از طریق حل مسئله
تمرین ها
حل مسئله با تابع کف
آموزش از طریق حل مسئله
تمرین ها
جمع بندی
مسائل مروری (صفحه اول)
مسائل مروری (صفحه دوم)
مسائل چالشی (صفحه اول)
مسائل چالشی (صفحه دوم)
دنباله ها و سری های بیشتر
مقدمه
جبر دنباله های بازگشتی
آموزش از طریق حل مسئله
تمرین ها
تلسکوپی
آموزش از طریق حل مسئله
تمرین ها
حاصل جمع سری های چندجمله ای
آموزش از طریق حل مسئله
تمرین ها
سری های حسابی-هندسی
آموزش از طریق حل مسئله
تمرین ها
تفاضل های متناهی
آموزش از طریق حل مسئله
تمرین ها
جمع بندی
مسائل مروری
مسائل چالشی
نابرابری های بیشتر
زنجیر نامساوی های میانگین
آموزش از طریق حل مسئله
تمرین ها
نامساوی جایگشتی
آموزش از طریق حل مسئله
تمرین ها
وقتی فرمول ها جواب نمی دهند
آموزش از طریق حل مسئله
تمرین ها
جمع بندی
مسائل مروری (صفحه اول)
مسائل مروری (صفحه دوم)
مسائل چالشی (صفحه اول)
مسائل چالشی (صفحه دوم)
معادلات تابعی
مقدمه
پیدا کردن مقادیر
آموزش از طریق حل مسئله
تمرین ها
پیدا کردن توابع با جایگذاری
آموزش از طریق حل مسئله
تمرین ها
جداسازی
آموزش از طریق حل مسئله
تمرین ها
توابع دوری
آموزش از طریق حل مسئله
تمرین ها
جمع بندی
مسائل مروری
مسائل چالشی
برخی استراتژی های پیشرفته
مقدمه
تقارن
آموزش از طریق حل مسئله
تمرین ها
جای گذاری برای ساده سازی
آموزش از طریق حل مسئله
تمرین ها
روش ضرایب نامعین
آموزش از طریق حل مسئله
تمرین ها
ساختن چندجمله ای ها از ریشه ها
آموزش از طریق حل مسئله
تمرین ها
مقسوم علیه های مشترک چندجمله ای ها
آموزش از طریق حل مسئله
تمرین ها
مواجهه دوباره با جمع های متقارن
آموزش از طریق حل مسئله
تمرین ها
جمع بندی
مسائل مروری (صفحه اول)
مسائل مروری (صفحه دوم)
مسائل چالشی (صفحه اول)
مسائل چالشی (صفحه دوم)
راهنمایی مسائل ستاره دار
هنر حل مسأله: آشنایی با جبر
پیروی کردن از قوانین
مقدمه
اعداد
آموزش از طریق حل مسئله
ترتیب عملیات
آموزش از طریق حل مسئله
تمرین ها
چه زمانی ترتیب مهم است؟
آموزش از طریق حل مسئله
تمرین ها
پخشی و فاکتورگیری
آموزش از طریق حل مسئله
تمرین ها
معادلات
آموزش از طریق حل مسئله
تمرین ها
جمع بندی
x مکان را معلوم می کند
مقدمه
عبارت ها
آموزش از طریق حل مسئله
تمرین ها
حساب مربوط به عبارت ها
آموزش از طریق حل مسئله
تمرین ها
پخشی، تفریق و فاکتورگیری
آموزش از طریق حل مسئله
تمرین ها
کسرها
آموزش از طریق حل مسئله
تمرین ها
جمع بندی
مسائل مروری (صفحه اول)
مسائل مروری (صفحه دوم)
مسائل چالشی
معادلات خطی تک متغیره
مقدمه
حل کردن معادلات خطی (1)
آموزش از طریق حل مسئله
تمرین ها
حل کردن معادلات خطی (2)
آموزش از طریق حل مسئله
تمرین ها
مسائل با صورت کلامی
آموزش از طریق حل مسئله
تمرین ها
معادلات خطی با تغییر ظاهر
آموزش از طریق حل مسئله
تمرین ها
جمع بندی
مسائل مروری
مسائل چالشی
متغیرهای بیشتر
مقدمه
تعیین مقادیر عبارات چندمتغیره
آموزش از طریق حل مسئله
تمرین ها
باز هم حساب بیشتر
آموزش از طریق حل مسئله
تمرین ها
پخشی و فاگتورگیری
آموزش از طریق حل مسئله
تمرین ها
کسرها
آموزش از طریق حل مسئله
تمرین ها
معادلات
آموزش از طریق حل مسئله
تمرین ها
جمع بندی
مسائل مروری
مسائل چالشی
معادلات خطی چندمتغیره
مقدمه
آشنایی با معادلات خطی دو متغیره
آموزش از طریق حل مسئله
تمرین ها
روش جای گذاری
آموزش از طریق حل مسئله
تمرین ها
روش حذفی
آموزش از طریق حل مسئله
تمرین ها
مسائل با صورت کلامی
آموزش از طریق حل مسئله
تمرین ها
معادلات خطی بیشتر با تغییر ظاهر
آموزش از طریق حل مسئله
تمرین ها
متغیرهای بیشتر
آموزش از طریق حل مسئله
تمرین ها
جمع بندی
مسائل مروری
مسائل چالشی
مطالب اضافی
نسبت و درصد
مسائل مقدماتی نسبت
آموزش از طریق حل مسئله
تمرین ها
مسائل دشوارتر نسبت
آموزش از طریق حل مسئله
تمرین ها
ضرایب تبدیل
آموزش از طریق حل مسئله
تمرین ها
درصد
آموزش از طریق حل مسئله
تمرین ها
مسائل مرتبط با درصد
آموزش از طریق حل مسئله
تمرین ها
جمع بندی
مسائل مروری (صفحه اول)
مسائل مروری (صفحه دوم)
مسائل چالشی
تناسب
تناسب مستقیم
آموزش از طریق حل مسئله
تمرین ها
تناسب معکوس
آموزش از طریق حل مسئله
تمرین ها
تناسب مرکب
آموزش از طریق حل مسئله
تمرین ها
مسائل سرعت
آموزش از طریق حل مسئله
تمرین ها
جمع بندی
مسائل مروری (صفحه اول)
مسائل مروری (صفحه دوم)
مسائل چالشی
ترسیم خطوط
مقدمه
محور اعداد و صفحه دکارتی
آموزش از طریق حل مسئله
تمرین ها
آشنایی با ترسیم معادلات خطی
آموزش از طریق حل مسئله
تمرین ها
استفاده از شیب در مسائل
آموزش از طریق حل مسئله
تمرین ها
یافتن معادله
آموزش از طریق حل مسئله
تمرین ها
شیب و تقاطع ها
آموزش از طریق حل مسئله
تمرین ها
مقایسه خطوط
آموزش از طریق حل مسئله
تمرین ها
جمع بندی
مسائل مروری (صفحه اول)
مسائل مروری (صفحه دوم)
مسائل چالشی
آشنایی با نابرابری ها
مقدمه
پایه ها
آموزش از طریق حل مسئله
تمرین ها
کدام یک بزرگتر است؟
آموزش از طریق حل مسئله
تمرین ها
نابرابری های خطی
آموزش از طریق حل مسئله
تمرین ها
ترسیم نابرابری ها
آموزش از طریق حل مسئله
تمرین ها
بهینه سازی
آموزش از طریق حل مسئله
تمرین ها
جمع بندی
مسائل مروری (صفحه اول)
مسائل مروری (صفحه دوم)
مسائل چالشی
معادلات درجه دوم (1)
مقدمه
شروع کار با عبارات درجه دوم
آموزش از طریق حل مسئله
تمرین ها
تجزیه عبارات درجه دوم (1)
آموزش از طریق حل مسئله
تمرین ها
تجزیه عبارات درجه دوم (2)
آموزش از طریق حل مسئله
تمرین ها
مجموع و حاصل ضرب ریشه های یک معادله درجه دوم
آموزش از طریق حل مسئله
تمرین ها
توسعه و کاربردها
آموزش از طریق حل مسئله
تمرین ها
جمع بندی
مسائل مروری (صفحه اول)
مسائل مروری (صفحه دوم)
مسائل چالشی
تجزیه های خاص
مقدمه
مربع دوجمله ای
آموزش از طریق حل مسئله
تمرین ها
تفاضل مربعات
آموزش از طریق حل مسئله
تمرین ها
مجموع و تفاضل مکعبات
آموزش از طریق حل مسئله
تمرین ها
گویاسازی مخرج
آموزش از طریق حل مسئله
تمرین ها
ترفند تجزیه محبوب سیمون
آموزش از طریق حل مسئله
تمرین ها
جمع بندی
مسائل مروری (صفحه اول)
مسائل مروری (صفحه دوم)
مسائل چالشی
اعداد مختلط
اعداد، اعداد و اعداد بیشتر!
آموزش از طریق حل مسئله
اعداد موهومی
آموزش از طریق حل مسئله
تمرین ها
اعداد مختلط
آموزش از طریق حل مسئله
تمرین ها
جمع بندی
مسائل مروری
مسائل چالشی
معادلات درجه دوم (2)
مقدمه
دوباره مربع دوجمله ای
آموزش از طریق حل مسئله
تمرین ها
مربع کامل سازی
آموزش از طریق حل مسئله
تمرین ها
فرمول معادله درجه دوم
آموزش از طریق حل مسئله
تمرین ها
توسعه و کاربردها
آموزش از طریق حل مسئله
تمرین ها
جمع بندی
مسائل مروری (صفحه دوم)
مسائل مروری (صفحه اول)
مسائل چالشی
ترسیم معادلات درجه دوم
مقدمه
سهمی ها
آموزش از طریق حل مسئله
تمرین ها
دایره ها
آموزش از طریق حل مسئله
تمرین ها
جمع بندی
مسائل مروری
مسائل چالشی
نابرابری های بیشتر
مقدمه
نابرابری های درجه دوم
آموزش از طریق حل مسئله
تمرین ها
فراتر از درجه دوم
آموزش از طریق حل مسئله
تمرین ها
نابرابری بدیهی
آموزش از طریق حل مسئله
تمرین ها
بهینه سازی درجه دوم
آموزش از طریق حل مسئله
تمرین ها
جمع بندی
مسائل مروری
مسائل چالشی (صفحه اول)
مسائل چالشی (صفحه دوم)
توابع
ماشین
آموزش از طریق حل مسئله
تمرین ها
عملیات بین توابع
آموزش از طریق حل مسئله
تمرین ها
ترکیب
آموزش از طریق حل مسئله
تمرین ها
توابع معکوس
آموزش از طریق حل مسئله
تمرین ها
حل مسئله در مورد توابع
آموزش از طریق حل مسئله
تمرین ها
عملیات
آموزش از طریق حل مسئله
تمرین ها
جمع بندی
مسائل مروری (صفحه اول)
مسائل مروری (صفحه دوم)
مسائل چالشی
ترسیم توابع
مقدمات
آموزش از طریق حل مسئله
تمرین ها
تبدیلات
آموزش از طریق حل مسئله
تمرین ها
مواجهه جدید با وارون توابع
آموزش از طریق حل مسئله
تمرین ها
جمع بندی
مسائل مروری
مسائل چالشی
چندجمله ای ها
مقدمه
جمع و تفریق
آموزش از طریق حل مسئله
تمرین ها
ضرب
آموزش از طریق حل مسئله
تمرین ها
جمع بندی
مسائل مروری
مسائل چالشی
مطالب اضافی
توابع نمایی و لگاریتمی
مقدمه
توابع نمایی
آموزش از طریق حل مسئله
تمرین ها
محاسبات مالی
آموزش از طریق حل مسئله
تمرین ها
مسائل بهره
آموزش از طریق حل مسئله
تمرین ها
لگاریتم چیست؟
آموزش از طریق حل مسئله
تمرین ها
جمع بندی
مسائل مروری
مسائل چالشی
توابع خاص
رادیکال
آموزش از طریق حل مسئله
تمرین ها
قدرمطلق
آموزش از طریق حل مسئله
تمرین ها
کف و سقف
آموزش از طریق حل مسئله
تمرین ها
توابع گویا
آموزش از طریق حل مسئله
تمرین ها
توابع چندضابطه ای
آموزش از طریق حل مسئله
تمرین ها
جمع بندی
مسائل مروری (صفحه اول)
مسائل مروی (صفحه دوم)
مسائل چالشی (صفحه اول)
مسائل چالشی (صفحه دوم)
دنباله و سری
مقدمه
دنباله های حسابی
آموزش از طریق حل مسئله
تمرین ها
سری های حسابی
آموزش از طریق حل مسئله
تمرین ها
دنباله های هندسی
آموزش از طریق حل مسئله
تمرین ها
سری های هندسی
آموزش از طریق حل مسئله
تمرین ها
تلسکوپی
آموزش از طریق حل مسئله
تمرین ها
جمع بندی
مطالب اضافی
مسائل مروری (صفحه اول)
مسائل مروری (صفحه دوم)
مسائل چالشی
مهارت های ویژه
مقدمه
به توان رساندن معادلات
آموزش از طریق حل مسئله
تمرین ها
خود تشابهی در عبارات
آموزش از طریق حل مسئله
تمرین ها
تقارن
آموزش از طریق حل مسئله
تمرین ها
جمع بندی
مسائل مروری
مسائل چالشی (صفحه اول)
مسائل چالشی (صفحه دوم)
راهنمایی ها (مخصوص مسائل ستاره دار)
هنر حل مسئله: و فراتر
اثبات کنید!
لگاریتم
طرح درس
پاسخ تمرین ها
مسائل
نه فقط برای مثلث های قائم الزاویه
توابع مثلثاتی
ترسیم توابع مثلثاتی
بازگشتن
کار کردن همزمان با همگی
حل کردن مسائل با کمک اتحادهای مثلثاتی
پاسخ تمرین ها
مسائل (1)
مسائل (2)
مثلث های بیشتر!
قواعد مثلث
مساحت، مساحت و مساحت
خطوط مهم بیشتر
پاسخ تمرین ها
مسائل (1)
مسائل (2)
چهارضلعی های محاطی
خواص چهارضلعی های محاطی
یافتن چهارضلعی های محاطی
قضیه بطلمیوس
پاسخ تمرین ها
مسائل
مقاطع مخروطی و مختصات قطبی
مقدمه
سهمی
بیضی
هذلولی
مواجهه دوباره با مختصات قطبی
جمله مزاحم xy
پاسخ تمرین ها
مسائل
چندجمله ای ها
چندجمله ای چیست؟
ضرب و تقسیم چندجمله ای ها
یافتن ریشه های چندجمله ای ها
ضرایب و ریشه ها
تبدیل کردن چندجمله ای ها
حاصل جمع های نیوتون
پاسخ تمرین ها
مسائل (1)
مسائل (2)
توابع
وارون تابع
معادلات تابعی
حل معادلات تابعی
پاسخ تمرین ها
مسائل (1)
مسائل (2)
حد
حد چیست؟
گول زننده
کار کردن با حد
پیوستگی
مجانب ها
حد توابع مثلثاتی
e
پاسخ تمرین ها
مسائل
اعدادمختلط
ترسیم
قدرمطلق
ضرب اعداد مختلط و مختصات
به توان رساندن اعداد مختلط و هندسه
قضیه دموار
فرم نمایی
یک تیر و دو نشان
ریشه های واحد
پاسخ تمرین ها
مسائل
بردارها و ماتریس ها
بردار چیست؟
ضرب داخلی
نمایش مختصاتی بردارها
ماتریس چیست؟
ضرب ماتریسی
ماتریس های ابعاد بالاتر
نمادگذاری بهتر ماتریس
پاسخ تمرین ها
مسائل
ضرب خارجی و دترمینان
ضرب خارجی
ضرب خارجی بر حسب مختصات
دترمینان
دترمینان در ابعاد بالاتر
کهادها
عملیات سطری و ستونی
وارون ماتریس
پاسخ تمرین ها
مسائل
هندسه تحلیلی
خط، زاویه و فاصله
پارامترها
بردار
نقطه، خط و صفحه
سطوح منحنی
به کار بردن هندسه تحلیلی
بردارها و مسائل هندسه
پاسخ تمرین ها
مسائل
معادلات و عبارات جبری
معادلات خطی
دستگاه های معادلات راحت
عبارات متقارن و تجزیه های پیشرفته
باز هم چندجمله ای
مربع و مکعب
کمک گرفتن از ترسیم
پاسخ تمرین ها
مسائل (1)
مسائل (2)
نابرابری ها
مقدمه
مواجهه دوباره با نابرابری بدیهی
نابرابری میانگین حسابی-هندسی
نابرابری کوشی
بیشینه سازی و کمینه سازی
هندسه و نابرابری ها
اشارات پایانی
پاسخ تمرین ها
مسائل (1)
مسائل (2)
ترکیبیات
اتحادها
اتحاد پاسکال
اتحادهای بیشتر
تکنیک "قدم زدن در قطعات (Block Walking)"
قضیه دوجمله ای
پاسخ تمرین ها
مسائل
دنباله ها و سری ها
کسرها در مبناهای دیگر
برخی سری های خاص
اعداد فیبوناچی
کار کردن با روابط بازگشتی
کار کردن با جمع ها
مواجهه دوباره با قضیه دوجمله ای
دنباله های هارمونیک
پاسخ تمرین ها
مسائل (1)
مسائل (2)
مسائل (3)
روش های عجیب و غریب شمارش
مقدمه
یک به یکی
تناظرهای هوشمندانه
تمرین ها
اصل شمول و عدم شمول
توابع مولد
افرازها
شمارش روی جداول
شمارش مجموعه های نامتناهی
پاسخ تمرین ها
مسائل (1)
مسائل (2)
دوباره و دوباره
تکرارها
نامتناهی راحت تر است
کسرهای مسلسل گویا
کسرهای مسلسل حقیقی
پاسخ تمرین ها
مسائل
احتمال
مقدمه
مرور، تعاریف و نمادگذاری
یک گام جلوتر
هندسه و احتمال
احتمال شرطی
پاسخ تمرین ها
مسائل (1)
مسائل (2)
مکان هندسی و ترسیم
مکان هندسی
ترسیم
پاسخ تمرین ها
مسائل (1)
مسائل (2)
هم خطی و همرسی
سه نقطه و یک خط
سه خط و یک نقطه
پاسخ تمرین ها
مسائل
ریزه کاری هایی جذاب در هندسه
تصویر
انعکاس
تجانس
پیوستگی هندسی
قضیه سیلوستر
پاسخ تمرین ها
مسائل (1)
مسائل (2)
نظریه اعداد
بخش پذیری
تقسیم کردن در هم نهشتی ها
حل معادلات هم نهشتی خطی
حل معادلات هم نهشتی مربعی
حاضلجمع مقسوم علیه ها
قضیه فرما
تابع فی
قضیه ویلسون
پاسخ تمرین ها
مسائل (1)
مسائل (2)
مسائل (3)
معادلات دیوفانتی
ax+by=c
x^2+y^2=z^2
x^4+y^4=z^2
معادله پل
روش های عمومی
پاسخ تمرین ها
مسائل (1)
مسائل (2)
نظریه گراف
نقاط و خطوط
گراف مسطح
مثال: اجسام افلاطونی
گشت زدن روی گراف ها
تور اویلری
رنگ آمیزی ها
پاسخ تمرین ها
مسائل
تیر خداحافظی
مسائل (1)
مسائل (2)
مسائل (3)
مسائل (4)
مسائل (5)
مسائل (6)
هنر حل مسئله: پیش جبر
ویژگی های محاسبات
چرا با محاسبات شروع میکنیم؟
آموزش از طریق حل مسئله
جمع
آموزش از طریق حل مسئله
تمرین ها
ضرب
آموزش از طریق حل مسئله
تمرین ها
قرینه کردن
آموزش از طریق حل مسئله
تمرین ها
تفریق
آموزش از طریق حل مسئله
تمرین ها
معکوس ها
آموزش از طریق حل مسئله
تمرین ها
تقسیم
آموزش از طریق حل مسئله
تمرین ها
جمع بندی
مسائل مروری (صفحه اول)
مسائل مروری (صفحه دوم)
مسائل چالشی
توان ها
مقدمه
مربعات
آموزش از طریق حل مسئله
تمرین ها
توان های بالاتر
آموزش از طریق حل مسئله
تمرین ها
صفر به عنوان توان
آموزش از طریق حل مسئله
تمرین ها
توان های منفی
آموزش از طریق حل مسئله
تمرین ها
جمع بندی
مسائل مروری (صفحه اول)
مسائل مروری (صفحه دوم)
مسائل چالشی (صفحه اول)
مسائل چالشی (صفحه دوم)
نظریه اعداد
مقدمه
مضارب
آموزش از طریق حل مسئله
تمرین ها
آزمون بخش پذیری
آموزش از طریق حل مسئله
تمرین ها
اعداد اول
آموزش از طریق حل مسئله
تمرین ها
تجزیه به عوامل اول
آموزش از طریق حل مسئله
تمرین ها
کوچکترین مضرب مشترک
آموزش از طریق حل مسئله
تمرین ها
مقسوم علیه ها
آموزش از طریق حل مسئله
تمرین ها
بزرگ ترین مقسوم علیه مشترک
آموزش از طریق حل مسئله
تمرین ها
جمع بندی
مسائل مروری (صفحه اول)
مسائل مروری (صفحه دوم)
مسائل چالشی
کسرها
کسر چیست؟
آموزش از طریق حل مسئله
تمرین ها
ضربِ کسرها
آموزش از طریق حل مسئله
تمرین ها
تقسیم بر یک کسر
آموزش از طریق حل مسئله
تمرین ها
به توان رساندن کسرها
آموزش از طریق حل مسئله
تمرین ها
ساده ترین صورت کسر
آموزش از طریق حل مسئله
تمرین ها
مقایسه کسرها
آموزش از طریق حل مسئله
تمرین ها
حاصل جمع و تفریق کسرها
آموزش از طریق حل مسئله
تمرین ها
اعداد مخلوط
آموزش از طریق حل مسئله
تمرین ها
جمع بندی
مسائل مروری (صفحه اول)
مسائل مروری (صفحه دوم)
مسائل چالشی
معادله ها و نامعادله ها
عبارت های ریاضی
آموزش از طریق حل مسئله
تمرین ها
حل معادلات خطی (1)
آموزش از طریق حل مسئله
تمرین ها
حل معادلات خطی (2)
آموزش از طریق حل مسئله
تمرین ها
مسائل کلامی
آموزش از طریق حل مسئله
تمرین ها
نابرابری ها
آموزش از طریق حل مسئله
تمرین ها
جمع بندی
مسائل مروری (صفحه اول)
مسائل مروری (صفحه دوم)
مسائل چالشی
اعداد اعشاری
مقدمه
محاسبات اعشاری
آموزش از طریق حل مسئله
تمرین ها
گرد کردن
آموزش از طریق حل مسئله
تمرین ها
اعداد اعشاری و کسر ها
آموزش از طریق حل مسئله
تمرین ها
اعداد اعشاری متناوب
آموزش از طریق حل مسئله
تمرین ها
جمع بندی
مسائل مروری
مسائل چالشی
نسبت، تناسب و تبدیل
مقدمه
نسبت چیست؟
آموزش از طریق حل مسئله
تمرین ها
نسبت های چندجزئی
آموزش از طریق حل مسئله
تمرین ها
تناسب
آموزش از طریق حل مسئله
تمرین ها
تبدیل ها
آموزش از طریق حل مسئله
تمرین ها
سرعت حرکت
آموزش از طریق حل مسئله
تمرین ها
سرعت های دیگر
آموزش از طریق حل مسئله
تمرین ها
مسائل مروری (صفحه اول)
مسائل مروری (صفحه دوم)
مسائل چالشی
درصد
درصد چیست؟
آموزش از طریق حل مسئله
تمرین ها
مسائل کلامی
آموزش از طریق حل مسئله
تمرین ها
درصد رشد و نزول
آموزش از طریق حل مسئله
تمرین ها
جمع بندی
مسائل مروری (صفحه اول)
مسائل مروری (صفحه دوم)
مسائل چالشی
ریشه های دوم
مقدمه
از مربع کامل تا ریشه های دوم
آموزش از طریق حل مسئله
تمرین ها
ریشه های دوم اعداد غیر مربع کامل
آموزش از طریق حل مسئله
تمرین ها
محاسبات با ریشه های دوم
آموزش از طریق حل مسئله
تمرین ها
جمع بندی
مسائل مروری (صفحه اول)
مسائل مروری (صفحه دوم)
مسائل چالشی (صفحه اول)
مسائل چالشی (صفحه دوم)
زاویه ها
مقدمه
اندازه گیری زاویه ها
آموزش از طریق حل مسئله
تمرین ها
خطوط موازی
آموزش از طریق حل مسئله
تمرین ها
زوایا در چند ضلعی ها
آموزش از طریق حل مسئله
تمرین ها
جمع بندی
مسائل مروری
مسائل چالشی
محیط و مساحت
مقدمه
اندازه گیری پاره خط
آموزش از طریق حل مسئله
تمرین ها
مساحت
آموزش از طریق حل مسئله
تمرین ها
دایره ها
آموزش از طریق حل مسئله
تمرین ها
جمع بندی
مسائل مروری (صفحه اول)
مسائل مروری (صفحه دوم)
مسائل چالشی
مثلث قائم الزاویه و چهارضلعی ها
قضیه فیثاغورث
آموزش از طریق حل مسئله
تمرین ها
برخی مثلث های خاص
آموزش از طریق حل مسئله
تمرین ها
انواع چهارضلعی
آموزش از طریق حل مسئله
تمرین ها
جمع بندی
مسائل مروری
مسائل چالشی
داده ها و آمار
مقدمه
آمار پایه
آموزش از طریق حل مسئله
تمرین ها
حدود آمار پایه
آموزش از طریق حل مسئله
تمرین ها
جداول، نمودار ها و چارت ها
آموزش از طریق حل مسئله
تمرین ها
جمع بندی
مسائل مروری
مسائل چالشی
شمارش
مقدمه
شمردن با جمع و تفریق
آموزش از طریق حل مسئله
تمرین ها
اصل ضرب
آموزش از طریق حل مسئله
تمرین ها
حالت بندی
آموزش از طریق حل مسئله
تمرین ها
شمردن زوج ها
آموزش از طریق حل مسئله
تمرین ها
احتمال
آموزش از طریق حل مسئله
تمرین ها
جمع بندی
مسائل مروری (صفحه اول)
مسائل مروری (صفحه دوم)
مسائل چالشی
استراتژی های حل مسئله
مقدمه
یافتن الگو
آموزش از طریق حل مسئله
تمرین ها
ساختن یک لیست
آموزش از طریق حل مسئله
تمرین ها
کشیدن شکل
آموزش از طریق حل مسئله
تمرین ها
معکوس کار کردن
آموزش از طریق حل مسئله
تمرین ها
جمع بندی
مسائل مروری (صفحه اول)
مسائل مروری (صفحه دوم)
مسائل چالشی
راهنمایی ها (مخصوص مسائل ستاره دار)
هنر حل مسئله: آشنایی با هندسه
فایده ی اسم ها چیست؟
مقدمه
چرا اسم و نماد؟
آموزش از طریق حل مسئله
نقاط، خطوط و صفحات
آموزش از طریق حل مسئله
تمرین ها
گرد و گرد
آموزش از طریق حل مسئله
تمرین ها
ترسیم: کپی کردن یک پاره خط
آموزش از طریق حل مسئله
تمرین ها
بارِ اثبات
آموزش از طریق حل مسئله
جمع بندی
زاویه ها
زاویه چیست؟
آموزش از طریق حل مسئله
اندازه گیزی زوایا
آموزش از طریق حل مسئله
تمرین ها
زوایای نیم صفحه و متقابل به راس
آموزش از طریق حل مسئله
تمرین ها
خطوط موازی
آموزش از طریق حل مسئله
تمرین ها
زوایای درون مثلث
آموزش از طریق حل مسئله
تمرین ها
زوایای خارجی
آموزش از طریق حل مسئله
تمرین ها
بازبینی خطوط موازی
آموزش از طریق حل مسئله
تمرین ها
جمع بندی
مسائل مروری (صفحه اول)
مسائل مروری (صفحه دوم)
مسائل چالشی
مثلث های همنهشت
آشنایی
آموزش از طریق حل مسئله
همنهشتی " ض ض ض"
آموزش از طریق حل مسئله
تمرین ها
همنهشتی "ض ز ض"
آموزش از طریق حل مسئله
تمرین ها
همنهشتی های "ز ض ز" و "ز ز ض"
آموزش از طریق حل مسئله
تمرین ها
همنهشتی غیر الزامی "ض ض ز"
آموزش از طریق حل مسئله
مثلث های متساوی الساقین و متساوی الاضلاع
آموزش از طریق حل مسئله
تمرین ها
ترسیم: مثلث متساوی الاضلاع و عمود منصف
آموزش از طریق حل مسئله
تمرین ها
جمع بندی
مسائل مروری (صفحه اول)
مسائل مروری (صفحه دوم)
مسائل چالشی
محیط و مساحت
محیط
آموزش از طریق حل مسئله
تمرین ها
مساحت
آموزش از طریق حل مسئله
تمرین ها
قائده یکسان/ ارتفاع یکسان
آموزش از طریق حل مسئله
تمرین ها
جمع بندی
مسائل مروری
مسائل چالشی
مثلث های متشابه
تشابه چیست؟
آموزش از طریق حل مسئله
تمرین ها
تشابه "ز ز"
آموزش از طریق حل مسئله
تمرین ها
تشابه "ض ز ض"
آموزش از طریق حل مسئله
تمرین ها
تشابه "ض ض ض"
آموزش از طریق حل مسئله
تمرین ها
کاربرد تشابه در مسائل
آموزش از طریق حل مسئله
تمرین ها
ترسیم: خطوط موازی و زوایا
آموزش از طریق حل مسئله
تمرین ها
جمع بندی
مسائل مروری
مسائل چالشی
مثلث قائم الزاویه
مقدمه
قضیه فیثاغورس
آموزش از طریق حل مسئله
تمرین ها
دو مثلث قائم الزاویه خاص
آموزش از طریق حل مسئله
تمرین ها
اعداد فیثاغورسی
آموزش از طریق حل مسئله
تمرین ها
بازبینی تشابه و همنهشتی
آموزش از طریق حل مسئله
تمرین ها
فرمول هرون
آموزش از طریق حل مسئله
تمرین ها
ترسیم: خطوط عمود
آموزش از طریق حل مسئله
تمرین ها
جمع بندی
مسائل مروری (صفحه اول)
مسائل مروری (صفحه دوم)
مسائل چالشی
اجزای خاص مثلث
مقدمه
نیمساز و عمودمنصف
آموزش از طریق حل مسئله
تمرین ها
عمودمنصف های مثلث
آموزش از طریق حل مسئله
تمرین ها
نیمساز های مثلث
آموزش از طریق حل مسئله
تمرین ها
میانه ها
آموزش از طریق حل مسئله
تمرین ها
ارتفاع ها
آموزش از طریق حل مسئله
تمرین ها
مسئله های چالشی
آموزش از طریق حل مسئله
تمرین ها
ترسیم: نیمساز و عمودمنصف
آموزش از طریق حل مسئله
تمرین ها
جمع بندی
مسائل مروری
مسائل چالشی
چهارضلعی ها
پایه های چهارضلعی ها
آموزش از طریق حل مسئله
تمرین ها
ذوزنقه
آموزش از طریق حل مسئله
تمرین ها
متوازی الاضلاع
آموزش از طریق حل مسئله
تمرین ها
لوزی
آموزش از طریق حل مسئله
تمرین ها
مستطیل
آموزش از طریق حل مسئله
تمرین ها
مربع
آموزش از طریق حل مسئله
تمرین ها
اگر و تنها اگر
آموزش از طریق حل مسئله
تمرین ها
مسائل چهارضلعی ها
آموزش از طریق حل مسئله
تمرین ها
جمع بندی
مسائل مروری (صفحه اول)
مسائل مروری (صفحه دوم)
مسائل چالشی
چندضلعی ها
آشنایی با چندضلعی ها
آموزش از طریق حل مسئله
تمرین ها
زاویه در چندضلعی ها
آموزش از طریق حل مسئله
تمرین ها
محیط چندضلعی
آموزش از طریق حل مسئله
تمرین ها
مسائل چندضلعی ها
آموزش از طریق حل مسئله
تمرین ها
ترسیم: چندضلعی های منتظم
آموزش از طریق حل مسئله
تمرین ها
جمع بندی
مسائل مروری
مسائل چالشی
نامساوی های هندسی
مقدمه
اضلاع و زوایای یک مثلث
آموزش از طریق حل مسئله
تمرین ها
فیثاغورس- نه تنها برای مثلث قائم الزاویه؟
آموزش از طریق حل مسئله
تمرین ها
نابرابری مثلثی
آموزش از طریق حل مسئله
تمرین ها
جمع بندی
مسائل مروری
مسائل چالشی
دایره ها
اندازه کمان، طول کمان و محیط
آموزش از طریق حل مسئله
تمرین ها
مساحت
آموزش از طریق حل مسئله
تمرین ها
مساحت های عجیب تر
آموزش از طریق حل مسئله
تمرین ها
جمع بندی
مسائل مروری
مسائل چالشی
دوایر و زوایا
مقدمه
زوایای محیطی
آموزش از طریق حل مسئله
تمرین ها
زوایای داخل و خارج دایره
آموزش از طریق حل مسئله
تمرین ها
مماس ها
آموزش از طریق حل مسئله
تمرین ها
مسائل
آموزش از طریق حل مسئله
تمرین ها
ترسیم: مماس ها
آموزش از طریق حل مسئله
تمرین ها
جمع بندی
مسائل مروری (صفحه اول)
مسائل مروری (صفحه دوم)
مسائل چالشی (صفحه اول)
مسائل چالشی (صفحه دوم)
قوت یک نقطه
مقدمه
قوت یک نقطه چیست؟
آموزش از طریق حل مسئله
تمرین ها
مسائل قوت نقطه
آموزش از طریق حل مسئله
تمرین ها
جمع بندی
مسائل مروری
مسائل چالشی
هندسه سه بعدی
مقدمه
صفحات
آموزش از طریق حل مسئله
تمرین ها
منشور ها
آموزش از طریق حل مسئله
تمرین ها
اهرام
آموزش از طریق حل مسئله
تمرین ها
چند وجهی منتظم
آموزش از طریق حل مسئله
تمرین ها
جمع بندی
مسائل مروری (صفحه اول)
مسائل مروری (صفحه دوم)
مسائل چالشی (صفحه اول)
مسائل چالشی (صفحه دوم)
سطوح خمیده
استوانه
آموزش از طریق حل مسئله
تمرین ها
مخروط
آموزش از طریق حل مسئله
تمرین ها
کره
آموزش از طریق حل مسئله
تمرین ها
مسائل
آموزش از طریق حل مسئله
تمرین ها
جمع بندی
مسائل مروری
مسائل چالشی
چیزهای بیشتری تغییر می کنند...
مقدمه
انتقال
آموزش از طریق حل مسئله
تمرین ها
دوران
آموزش از طریق حل مسئله
تمرین ها
تقارن
آموزش از طریق حل مسئله
تمرین ها
تجانس
آموزش از طریق حل مسئله
تمرین ها
عوض کردن سوال
آموزش از طریق حل مسئله
تمرین ها
ترسیم: تبدیلات
آموزش از طریق حل مسئله
تمرین ها
جمع بندی
مسائل مروری (صفحه اول)
مسائل مروری (صفحه دوم)
مسائل چالشی
هندسه تحلیلی
مقدمه
خطوط
آموزش از طریق حل مسئله
تمرین ها
دوایر
آموزش از طریق حل مسئله
تمرین ها
مسائل مقدماتی هندسه تحلیلی
آموزش از طریق حل مسئله
تمرین ها
اثبات ها با هندسه تحلیلی
آموزش از طریق حل مسئله
تمرین ها
فاصله بین نقطه و خط
آموزش از طریق حل مسئله
تمرین ها
مسائل پیشرفته هندسه تحلیلی
آموزش از طریق حل مسئله
تمرین ها
جمع بندی
مسائل مروری (صفحه اول)
مسائل مروری (صفحه دوم)
مسائل چالشی
آشنایی با مثلثات
مقدمه
مثلثات و مثلث قائم الزاویه
آموزش از طریق حل مسئله
تمرین ها
نه تنها برای مثلث قائم الزاویه
آموزش از طریق حل مسئله
تمرین ها
قانون سینوس ها و قانون کسینوس ها
آموزش از طریق حل مسئله
تمرین ها
جمع بندی
مسائل مروری (صفحه اول)
مسائل مروری (صفحه دوم)
مسائل چالشی
استراتژی های حل مسئله در هندسه
مقدمه
خط اضافه
آموزش از طریق حل مسئله
تمرین ها
تخصیص متغیرها
آموزش از طریق حل مسئله
تمرین ها
اثبات ها
آموزش از طریق حل مسئله
تمرین ها
جمع بندی
مسائل چالشی (صفحه اول)
مسائل چالشی (صفحه دوم)
راهنمایی مسائل ستاره دار
هنر حل مسئله: آشنایی با نظریه اعداد
اعداد صحیح: مبانی
آشنایی
آموزش از طریق حل مسئله
ساختن اعداد صحیح از روی اعداد صحیح
آموزش از طریق حل مسئله
تمرین ها
مضارب صحیح
آموزش از طریق حل مسئله
تمرین ها
بخش پذیری اعداد صحیح
آموزش از طریق حل مسئله
تمرین ها
مقسوم علیه ها
آموزش از طریق حل مسئله
تمرین ها
کاربرد مقسوم علیه ها
آموزش از طریق حل مسئله
تمرین ها
نمادهای ریاضی
آموزش از طریق حل مسئله
تمرین ها
جمع بندی
مسائل مروری
مسائل چالشی
اعداد اول و مرکب
آشنایی
آموزش از طریق حل مسئله
اعداد اول و مرکب
آموزش از طریق حل مسئله
تمرین ها
تشخیص اعداد اول ۱
آموزش از طریق حل مسئله
تمرین ها
تشخیص اعداد اول ۲
آموزش از طریق حل مسئله
تمرین ها
جمع بندی
مسائل مروری
مسائل چالشی
مضارب و مقسوم علیه ها
آشنایی
آموزش از طریق حل مسئله
مقسوم علیه های مشترک
آموزش از طریق حل مسئله
تمرین ها
بزرگترین مقسوم علیه مشترک (ب.م.م)
آموزش از طریق حل مسئله
تمرین ها
مضارب مشترک
آموزش از طریق حل مسئله
تمرین ها
باقی مانده ها
آموزش از طریق حل مسئله
تمرین ها
مضارب، مقسوم علیه ها و محاسبات
آموزش از طریق حل مسئله
تمرین ها
الگوریتم اقلیدس
آموزش از طریق حل مسئله
تمرین ها
جمع بندی
تمرین ها
مسائل مروری
مسائل چالشی
تجزیه به عوامل اول
آشنایی
آموزش از طریق حل مسئله
درخت عوامل
آموزش از طریق حل مسئله
تمرین ها
تجزیه و مضارب
آموزش از طریق حل مسئله
تمرین ها
تجزیه و مقسوم علیه ها
آموزش از طریق حل مسئله
تمرین ها
اعداد کسری و ساده ترین صورت
آموزش از طریق حل مسئله
تمرین ها
تجزیه به عوامل اول و حل مسئله
آموزش از طریق حل مسئله
تمرین ها
روابط بین ب.م.م و ک.م.م
آموزش از طریق حل مسئله
تمرین ها
جمع بندی
مسائل مروری
مسائل چالشی (صفحه اول)
مسائل چالشی (صفحه دوم)
مسائل مقسوم علیه ها
آشنایی
آموزش از طریق حل مسئله
شمارش مقسوم علیه ها
آموزش از طریق حل مسئله
تمرین ها
مسائل شمارش مقسوم علیه ها
آموزش از طریق حل مسئله
تمرین ها
حاصل ضرب مقسوم علیه ها
آموزش از طریق حل مسئله
تمرین ها
جمع بندی
مسائل مروری
مسائل چالشی (صفحه اول)
مسائل چالشی (صفحه دوم)
اعداد خاص
آشنایی
آموزش از طریق حل مسئله
برخی اعداد اول خاص
آموزش از طریق حل مسئله
تمرین ها
فاکتوریل، توان و بخش پذیری
آموزش از طریق حل مسئله
تمرین ها
اعداد کامل، زائد و ناقص
آموزش از طریق حل مسئله
تمرین ها
پالیندروم ها
آموزش از طریق حل مسئله
تمرین ها
جمع بندی
مسائل مروری
مسائل چالشی (صفحه اول)
مسائل چالشی (صفحه دوم)
جبرِ اعداد صحیح
آشنایی
آموزش از طریق حل مسئله
مسائل
آموزش از طریق حل مسئله
جمع بندی
آموزش از طریق حل مسئله
مسائل چالشی (صفحه اول)
مسائل چالشی (صفحه دوم)
مبنا
آشنایی
آموزش از طریق حل مسئله
شمارش در بسته ها
آموزش از طریق حل مسئله
تمرین ها
اعداد در مبنا
آموزش از طریق حل مسئله
تمرین ها
ارقام در مبنا
آموزش از طریق حل مسئله
تمرین ها
تبدیل اعداد صحیح بین مبناها
آموزش از طریق حل مسئله
تمرین ها
مسائل غیرمعمول مبنا
آموزش از طریق حل مسئله
تمرین ها
جمع بندی
مسائل مروری
مسائل چالشی (صفحه اول)
مسائل چالشی (صفحه دوم)
محاسبات مبنا
آشنایی
آموزش از طریق حل مسئله
جمع در مبنا
آموزش از طریق حل مسئله
تمرین ها
تفاضل در مبنا
آموزش از طریق حل مسئله
تمرین ها
ضرب در مبنا
آموزش از طریق حل مسئله
تمرین ها
تقسیم و بخش پذیری در مبنا
آموزش از طریق حل مسئله
تمرین ها
جمع بندی
مسائل مروری
مسائل چالشی
ارقام یکان
آشنایی
آموزش از طریق حل مسئله
ارقام یکان در محاسبات
آموزش از طریق حل مسئله
تمرین ها
ارقام یکان در مبناها
آموزش از طریق حل مسئله
تمرین ها
ارقام یکان همه جا!
آموزش از طریق حل مسئله
تمرین ها
جمع بندی
مسائل مروری
مسائل چالشی (صفحه اول)
مسائل چالشی (صفحه دوم)
کسرها و اعداد اعشاری
آشنایی
آموزش از طریق حل مسئله
اعداد اعشاری متناهی
آموزش از طریق حل مسئله
تمرین ها
اعداد اعشاری متناوب
آموزش از طریق حل مسئله
تمرین ها
تبدیل اعداد اعشاری به کسر
آموزش از طریق حل مسئله
تمرین ها
مبنا و اعداد اعشاری معادل
تمرین ها
آموزش از طریق حل مسئله
جمع بندی
مسائل مروری
مسائل چالشی
آشنایی با محاسبات پیمانه ای
آشنایی
آموزش از طریق حل مسئله
همنهشتی
آموزش از طریق حل مسئله
تمرین ها
باقی مانده
آموزش از طریق حل مسئله
تمرین ها
جمع و تفریق
آموزش از طریق حل مسئله
تمرین ها
ضرب و توان رسانی
آموزش از طریق حل مسئله
تمرین ها
الگوها و شناسایی ها
آموزش از طریق حل مسئله
تمرین ها
جمع بندی
مسائل مروری
مسائل چالشی
قوانین بخش پذیری
آشنایی
آموزش از طریق حل مسئله
قوانین بخش پذیری
آموزش از طریق حل مسئله
تمرین ها
قوانین بخش پذیری با جبر
آموزش از طریق حل مسئله
تمرین ها
جمع بندی
مسائل مروری
مسائل چالشی
معادله همنهشتی خطی
آشنایی
آموزش از طریق حل مسئله
معکوس پیمانه ای و معادلات همنهشتی خطی ساده
آموزش از طریق حل مسئله
تمرین ها
حل معادلات همنهشتی خطی
آموزش از طریق حل مسئله
تمرین ها
دستگاه معادلات همنهشتی خطی
آموزش از طریق حل مسئله
تمرین ها
جمع بندی
مسائل مروری
مسائل چالشی
درک عددی
آشنایی
آموزش از طریق حل مسئله
عامل های آشنا و بخش پذیری
آموزش از طریق حل مسئله
روش های جبری محاسبات
آموزش از طریق حل مسئله
حالت های مفید اعداد
آموزش از طریق حل مسئله
سادگی
آموزش از طریق حل مسئله
جمع بندی
مسائل مروری (صفحه اول)
مسائل مروری (صفحه دوم)
مسائل مروری (صفحه سوم)
راهنمایی مسائل ستاره دار
هنر حل مسئله: آشنایی با شمارش و احتمال
شمارش محاسباتی است
آشنایی
آموزش از طریق حل مسئله
شمارش دنباله ای از اعداد
آموزش از طریق حل مسئله
تمرین ها
شمارش با جمع و تفریق
آموزش از طریق حل مسئله
تمرین ها
شمارش چندین پیشامد
آموزش از طریق حل مسئله
تمرین ها
جایگشت ها
آموزش از طریق حل مسئله
تمرین ها
جمع بندی
مسائل مروری
مسائل چالشی
ترفندهای پایه ای شمارش
آشنایی
آموزش از طریق حل مسئله
اصل جمع
آموزش از طریق حل مسئله
تمرین ها
شمردن مکمل
آموزش از طریق حل مسئله
تمرین ها
شمارش ساختاری
آموزش از طریق حل مسئله
تمرین ها
شمارش با محدود کردن
تمرین ها
آموزش از طریق حل مسئله
جمع بندی
مسائل مروری
مسائل چالشی
اصلاح شمارش تکراری
آشنایی
آموزش از طریق حل مسئله
جایگشت با تکرار
آموزش از طریق حل مسئله
تمرین ها
شمارش جفت ها
آموزش از طریق حل مسئله
تمرین ها
شمارش با تقارن
آموزش از طریق حل مسئله
تمرین ها
جمع بندی
مسائل مروری
مسائل چالشی
گروه ها و ترکیب ها
آشنایی
آموزش از طریق حل مسئله
تشکیل گروه
آموزش از طریق حل مسئله
تمرین ها
چگونه ترکیب ها را محاسبه کنیم
آموزش از طریق حل مسئله
تمرین ها
اولین اتحاد ترکیبیاتی ما
آموزش از طریق حل مسئله
تمرین ها
جمع بندی
مسائل مروری
مسائل چالشی
چیزهای بیشتری از جایگشت
آشنایی
آموزش از طریق حل مسئله
مسیرها در شبکه
آموزش از طریق حل مسئله
تمرین ها
مسائل بیشتر تشکیل گروه
آموزش از طریق حل مسئله
تمرین ها
تمایز
آموزش از طریق حل مسئله
تمرین ها
جمع بندی
مسائل مروری
مسائل چالشی
برخی مسائل سخت تر شمارش
آشنایی
آموزش از طریق حل مسئله
مسائل
آموزش از طریق حل مسئله
جمع بندی
مسائل چالشی
آشنایی با احتمال
آشنایی
آموزش از طریق حل مسئله
مبانی احتمال
آموزش از طریق حل مسئله
تمرین ها
برآمدهای هم شانس
آموزش از طریق حل مسئله
تمرین ها
تکنیک های شمارش در مسائل احتمال
آموزش از طریق حل مسئله
تمرین ها
جمع بندی
مسائل مروری
مسائل چالشی
ترفند های پایه ای احتمال
آشنایی
آموزش از طریق حل مسئله
احتمال و جمع
آموزش از طریق حل مسئله
تمرین ها
احتمال های مکمل
آموزش از طریق حل مسئله
تمرین ها
احتمال و ضرب
آموزش از طریق حل مسئله
تمرین ها
احتمال با پیشامدهای وابسته
آموزش از طریق حل مسئله
تمرین ها
ستاره دنباله دار - یک مسئله سخت
آموزش از طریق حل مسئله
جمع بندی
مسائل مروری
مسائل چالشی
راجع بهش فکر کن!
آشنایی
آموزش از طریق حل مسئله
مسائل
آموزش از طریق حل مسئله
جمع بندی
مسائل چالشی
احتمال های هندسی
آشنایی
آموزش از طریق حل مسئله
احتمال با استفاده از طول ها
آموزش از طریق حل مسئله
تمرین ها
احتمال با استفاده از مساحت ها
آموزش از طریق حل مسئله
تمرین ها
جمع بندی
مسائل مروری
مسائل چالشی
امید ریاضی
آشنایی
آموزش از طریق حل مسئله
تعریف امید ریاضی
آموزش از طریق حل مسئله
تمرین ها
مسائل امید ریاضی
آموزش از طریق حل مسئله
تمرین ها
یک بازی جالب
آموزش از طریق حل مسئله
تمرین ها
جمع بندی
مسائل مروری
مسائل چالشی
مثلث پاسکال
آشنایی
آموزش از طریق حل مسئله
تشکیل مثلث پاسکال
آموزش از طریق حل مسئله
آن اعداد آشنا به نظر میرسند!
آموزش از طریق حل مسئله
تمرین ها
یک اتحاد ترکیبیاتی جالب
آموزش از طریق حل مسئله
تمرین ها
یک اتحاد ترکیبیاتی جالب دیگر
آموزش از طریق حل مسئله
تمرین ها
جمع بندی
مسائل مروری
مسائل چالشی
اتحاد چوشی-چی
آشنایی
آموزش از طریق حل مسئله
صورت مسئله
آموزش از طریق حل مسئله
راه قدم به قدم
آموزش از طریق حل مسئله
تمرین ها
راه زیرکانه
آموزش از طریق حل مسئله
تمرین ها
اتحاد
آموزش از طریق حل مسئله
تمرین ها
جمع بندی
مسائل مروری
مسائل چالشی
بسط دوجمله ای
آشنایی
آموزش از طریق حل مسئله
کمی جبر
آموزش از طریق حل مسئله
قضیه
آموزش از طریق حل مسئله
کاربردهای بسط دوجمله ای
آموزش از طریق حل مسئله
تمرین ها
استفاده از بسط دوجمله ای در اتحاد ها
آموزش از طریق حل مسئله
تمرین ها
جمع بندی
مسائل مروری
مسائل چالشی
مسائل چالشی تر
آشنایی
آموزش از طریق حل مسئله
مسائل
آموزش از طریق حل مسئله
مسائل چالشی (صفحه اول)
مسائل چالشی (صفحه دوم)
راهنمایی مسائل ستاره دار
هنر حل مسئله: شمارش و احتمال متوسطه
مروری بر مقدمات شمارش و احتمال
آشنایی
آموزش از طریق حل مسئله
ترفند های شمارشی پایه
آموزش از طریق حل مسئله
ترفندهای احتمالاتی پایه
آموزش از طریق حل مسئله
امید ریاضی
آموزش از طریق حل مسئله
مثلث پاسکال و بسط دوجمله ای
آموزش از طریق حل مسئله
یادداشت جمع بندی
آموزش از طریق حل مسئله
جمع بندی
مجموعه ها و منطق
آشنایی
آموزش از طریق حل مسئله
مجموعه ها
آموزش از طریق حل مسئله
تمرین ها
عملیات روی مجموعه ها
آموزش از طریق حل مسئله
تمرین ها
درستی و منطق
آموزش از طریق حل مسئله
تمرین ها
سور ها
آموزش از طریق حل مسئله
تمرین ها
جمع بندی
مسائل مروری
مسائل چالشی
اصل شمول و عدم شمول
آشنایی
آموزش از طریق حل مسئله
شمول و عدم شمول در دو مجموعه
آموزش از طریق حل مسئله
تمرین ها
شمول و عدم شمول در سه مجموعه
آموزش از طریق حل مسئله
تمرین ها
مسائل شمارش با اصل شمول و عدم شمول
آموزش از طریق حل مسئله
تمرین ها
تعمیم اصل شمول و عدم شمول
آموزش از طریق حل مسئله
تمرین ها
شمردن عناصر با بیشتر از یکی از چیزی
آموزش از طریق حل مسئله
تمرین ها
برخی مسائل سخت تر شمول و عدم شمول
آموزش از طریق حل مسئله
تمرین ها
جمع بندی
مسائل مروری
مسائل چالشی
شمارش ساختار یافته و تناظر یک به یک
آشنایی
آموزش از طریق حل مسئله
برخی مسائل پایه
آموزش از طریق حل مسئله
تمرین ها
مسائل سخت تر شمارش ساختار یافته
آموزش از طریق حل مسئله
تمرین ها
پایه های تناظر یک به یک
آموزش از طریق حل مسئله
تمرین ها
تناظر های یک به یک پیچیده تر
آموزش از طریق حل مسئله
تمرین ها
تناظر یک به یک هوشمندانه
آموزش از طریق حل مسئله
تمرین ها
جمع بندی
مسائل مروری
مسائل چالشی
اصل لانه کبوتری
آشنایی
آموزش از طریق حل مسئله
این مفهوم رایجی است!
آموزش از طریق حل مسئله
تمرین ها
مسائل پایه ای لانه کبوتری
آموزش از طریق حل مسئله
تمرین ها
مسائل پیشرفته تر لانه کبوتری
آموزش از طریق حل مسئله
تمرین ها
جمع بندی
مسائل مروری
مسائل چالشی
امید ریاضی ساختار یافته
آشنایی
آموزش از طریق حل مسئله
مثال های پایه ای
آموزش از طریق حل مسئله
تمرین ها
جمع کردن امید ریاضی ها به صورت ساختاری
آموزش از طریق حل مسئله
تمرین ها
یک کت و چندین وصله (تکرار)
آموزش از طریق حل مسئله
جمع بندی
مسائل مروری
مسائل چالشی
توزیع ها
آشنایی
آموزش از طریق حل مسئله
توزیع های پایه
آموزش از طریق حل مسئله
تمرین ها
توزیع با شروط اضافه
آموزش از طریق حل مسئله
تمرین ها
مسائل پیچیده تر توزیع
آموزش از طریق حل مسئله
تمرین ها
جمع بندی
مسائل مروری
مسائل چالشی
استقرای ریاضی
آموزش از طریق حل مسئله
مسائل مروری
مسائل چالشی
اعداد فیبوناچی
آشنایی
آموزش از طریق حل مسئله
یک مسئله انگیزشی
آموزش از طریق حل مسئله
تعدادی مسئله فیبوناچی
آموزش از طریق حل مسئله
تمرین ها
فرمولی برای اعداد فیبوناچی
آموزش از طریق حل مسئله
تمرین ها
جمع بندی
مسائل مروری
مسائل چالشی
بازگشت
آشنایی
آموزش از طریق حل مسئله
مثال هایی از بازگشت
آموزش از طریق حل مسئله
تمرین ها
دنباله های بازگشتی خطی
آموزش از طریق حل مسئله
تمرین ها
یک مسئله بازگشتی دشوار
آموزش از طریق حل مسئله
تمرین ها
مسائلی با دخالت اعداد کاتالان
آموزش از طریق حل مسئله
تمرین ها
فرمول اعداد کاتالان
آموزش از طریق حل مسئله
تمرین ها
جمع بندی
مسائل مروری
مسائل چالشی
احتمال شرطی
آشنایی
آموزش از طریق حل مسئله
مثال های پایه ای از احتمال شرطی
آموزش از طریق حل مسئله
تمرین ها
برخی تعاریف و نکات
آموزش از طریق حل مسئله
تمرین ها
مثال های دشوارتر
آموزش از طریق حل مسئله
تمرین ها
بیایید یک معامله کنیم
آموزش از طریق حل مسئله
تمرین ها
جمع بندی
مسائل مروری
مسائل چالشی
اتحادهای ترکیبیاتی
آشنایی
آموزش از طریق حل مسئله
اتحاد های پایه
آموزش از طریق حل مسئله
تمرین ها
اتحادهای بیشتر
آموزش از طریق حل مسئله
تمرین ها
جمع بندی
مسائل مروری
مسائل چالشی
رویدادها با وضعیت ها
آشنایی
آموزش از طریق حل مسئله
نمودار وضعیت و گشت تصادفی
آموزش از طریق حل مسئله
تمرین ها
رویداد هایی با بی نهایت وضعیت
آموزش از طریق حل مسئله
تمرین ها
بازی های استراتژیک دو نفره
آموزش از طریق حل مسئله
تمرین ها
جمع بندی
مسائل مروری
مسائل چالشی
توابع مولد
آشنایی
آموزش از طریق حل مسئله
مثال های پایه از توابع مولد
آموزش از طریق حل مسئله
تمرین ها
بسط دوجمله ای (به عنوان تابع مولد)
آموزش از طریق حل مسئله
تمرین ها
توزیع ها (به عنوان توابع مولد)
آموزش از طریق حل مسئله
تمرین ها
تابع مولد افراز
آموزش از طریق حل مسئله
تمرین ها
تابع مولد اعداد فیبوناچی
آموزش از طریق حل مسئله
جمع بندی
مسائل مروری
مسائل چالشی
نظریه گراف
آشنایی
آموزش از طریق حل مسئله
تعاریف
آموزش از طریق حل مسئله
ویژگی های پایه ی گراف
آموزش از طریق حل مسئله
تمرین ها
مسیر و دور
آموزش از طریق حل مسئله
تمرین ها
گراف های مسطح
آموزش از طریق حل مسئله
تمرین ها
مسیر های اویلری و همیلتونی
آموزش از طریق حل مسئله
تمرین ها
جمع بندی
مسائل مروری
مسائل چالشی
مسائل چالشی
مقدمه
مسائل (صفحه اول)
مسائل (صفحه دوم)
راهنمایی مسائل ستاره دار
هنر حل مسئله: پیش حسابان
مروری بر توابع
مقدمات توابع
آموزش از طریق حل مسئله
تمرین ها
ترسیم توابع
آموزش از طریق حل مسئله
تمرین ها
ترکیب
آموزش از طریق حل مسئله
تمرین ها
وارون توابع
آموزش از طریق حل مسئله
تمرین ها
جمع بندی
مسائل مروری (صفحه اول)
مسائل مروری (صفحه دوم)
مسائل چالشی
آشنایی با توابع مثلثاتی
مقدمه
دایره واحد
آموزش از طریق حل مسئله
تمرین ها
رادیان
آموزش از طریق حل مسئله
تمرین ها
نمودار توابع مثلثاتی
آموزش از طریق حل مسئله
تمرین ها
تبدیلات توابع مثلثاتی
آموزش از طریق حل مسئله
تمرین ها
وارون توابع مثلثاتی
آموزش از طریق حل مسئله
تمرین ها
جمع بندی
مسائل مروری (صفحه اول)
مسائل مروری (صفحه دوم)
مسائل چالشی
اتحادهای مثلثاتی
مقدمه
مقدمه ای بر اتحادهای مثلثاتی
آموزش از طریق حل مسئله
تمرین ها
جمع و تفاضل زوایا
آموزش از طریق حل مسئله
تمرین ها
دو برابر و نصف زوایا
آموزش از طریق حل مسئله
تمرین ها
"جمع به ضرب" و "ضرب به جمع"
آموزش از طریق حل مسئله
تمرین ها
حل مسئله با اتحادها
آموزش از طریق حل مسئله
تمرین ها
جمع بندی
مسائل مروری (صفحه اول)
مسائل مروری (صفحه دوم)
مسائل چالشی (صفحه اول)
مسائل چالشی (صفحه دوم)
کاربرد در هندسه
مقدمه
روابط مثلثاتی مثلث قائم الزاویه
آموزش از طریق حل مسئله
تمرین ها
قضیه کسینوس ها
آموزش از طریق حل مسئله
تمرین ها
قضیه سینوس ها
آموزش از طریق حل مسئله
تمرین ها
روابط مثلثاتی بیشتر
آموزش از طریق حل مسئله
تمرین ها
جمع بندی
مسائل مروری (صفحه اول)
مسائل مروری (صفحه دوم)
مسائل چالشی (صفحه اول)
مسائل چالشی (صفحه دوم)
پارامتری سازی و دستگاه های مختصات مثلثاتی
پارامتری سازی
آموزش از طریق حل مسئله
تمرین ها
مختصات قطبی
آموزش از طریق حل مسئله
تمرین ها
مختصات در سه بعد
آموزش از طریق حل مسئله
تمرین ها
جمع بندی
مسائل مروری (صفحه اول)
مسائل مروری (صفحه دوم)
مسائل چالشی
مقدمات اعداد مختلط
مقدمه
حساب اعداد مختلط
آموزش از طریق حل مسئله
تمرین ها
صفحه مختلط
آموزش از طریق حل مسئله
تمرین ها
بخش های حقیقی و موهومی
آموزش از طریق حل مسئله
تمرین ها
ریشه های غیر حقیقی چند جمله ای ها
آموزش از طریق حل مسئله
تمرین ها
جمع بندی
مسائل مروری (صفحه اول)
مسائل مروری (صفحه دوم)
مسائل چالشی
مثلثات و اعداد مختلط
نمایش قطبی اعداد مختلط
آموزش از طریق حل مسئله
تمرین ها
نمایش نمایی اعداد مختلط
آموزش از طریق حل مسئله
تمرین ها
ریشه های واحد
آموزش از طریق حل مسئله
تمرین ها
مسائل درگیر با ریشه های واحد
آموزش از طریق حل مسئله
تمرین ها
جمع بندی
تمرین ها
مسائل مروری (صفحه اول)
مسائل مروری (صفحه دوم)
مسائل چالشی (صفحه اول)
مسائل چالشی (صفحه دوم)
هندسه اعداد مختلط
مقدمه
تبدیلات در صفحه مختلط
آموزش از طریق حل مسئله
تمرین ها
خطوط موازی و عمود
آموزش از طریق حل مسئله
تمرین ها
فاصله
آموزش از طریق حل مسئله
تمرین ها
چند ضلعی های منتظم
آموزش از طریق حل مسئله
تمرین ها
قضایای کلاسیک
آموزش از طریق حل مسئله
جمع بندی
مسائل مروری (صفحه اول)
مسائل مروری (صفحه دوم)
مسائل چالشی (صفحه اول)
مسائل چالشی (صفحه دوم)
بردارها در دو بعد
بردار چیست؟
آموزش از طریق حل مسئله
تمرین ها
ضرب داخلی
آموزش از طریق حل مسئله
تمرین ها
خطوط و استقلال خطی
آموزش از طریق حل مسئله
تمرین ها
تصویر
آموزش از طریق حل مسئله
تمرین ها
جمع بندی
مسائل مروری (صفحه اول)
مسائل مروری (صفحه دوم)
مسائل چالشی
ماتریس ها در دو بعد
ماتریس چیست؟
آموزش از طریق حل مسئله
تمرین ها
ضرب ماتریس ها
آموزش از طریق حل مسئله
تمرین ها
ماتریس به عنوان تبدیل
آموزش از طریق حل مسئله
تمرین ها
دترمینان
آموزش از طریق حل مسئله
تمرین ها
تعبیر هندسی دترمینان
آموزش از طریق حل مسئله
تمرین ها
وارون ماتریس
آموزش از طریق حل مسئله
تمرین ها
جمع بندی
مسائل مروری (صفحه اول)
مسائل مروری (صفحه دوم)
مسائل چالشی (صفحه اول)
مسائل چالشی (صفحه دوم)
بردارها و ماتریس ها در سه بعد (بخش 1)
بردارها در سه بعد
آموزش از طریق حل مسئله
تمرین ها
ماتریس های "3 در 3"
آموزش از طریق حل مسئله
تمرین ها
دترمینان ماتریس های "3 در 3"
آموزش از طریق حل مسئله
تمرین ها
بیشتر از "2 در 2" و "3 در 3"
آموزش از طریق حل مسئله
تمرین ها
جمع بندی
مسائل مروری (صفحه اول)
مسائل مروری (صفحه دوم)
مسائل چالشی
بردارها و ماتریس ها در سه بعد (بخش 2)
خط و صفحه در سه بعد
آموزش از طریق حل مسئله
تمرین ها
صفحات بیشتر در سه بعد
آموزش از طریق حل مسئله
تمرین ها
ضرب خارجی
آموزش از طریق حل مسئله
تمرین ها
تعبیر هندسی دترمینان
آموزش از طریق حل مسئله
تمرین ها
وارون ماتریس "3 در 3"
آموزش از طریق حل مسئله
تمرین ها
جمع بندی
مسائل مروری (صفحه اول)
مسائل مروری (صفحه دوم)
مسائل چالشی
هندسه برداری
آشنایی
آموزش از طریق حل مسئله
تمرین ها
بردارها در مثلث
آموزش از طریق حل مسئله
تمرین ها
بردارها، اعداد مختلط و مسائل چالشی
آموزش از طریق حل مسئله
جمع بندی
مسئل چالشی (صفحه اول)
مسائل چالشی (صفحه دوم)
راهنمایی مسائل ستاره دار
هنر حل مسئله: حساب دیفرانسیل و انتگرال
مجموعه ها و توابع
مقدمه
مجموعه ها
طرح درس
تمرین ها
اعداد و بازه ها
طرح درس
تمرین ها
توابع
طرح درس
تمرین ها
نمودار توابع
طرح درس
تمرین ها
توابع مثلثاتی
طرح درس
تمرین ها
معادلات مثلثاتی مقدماتی
طرح درس
تمرین ها
توابع نمایی و لگاریتمی
طرح درس
تمرین ها
مسائل مروری
مسائل چالشی
ضمیمه: رابطه بین توابع مثلثاتی و نمایی
حد و پیوستگی
حد
طرح درس
تمرین ها
پیوستگی
طرح درس
تمرین ها
مسائل مروری
مسائل چالشی
ضمیمه: اثبات برخی نتایج پیوستگی
مشتق
مقدمه
معرفی شهودی
طرح درس
تعریف مشتق
طرح درس
تمرین ها
محاسبات مقدماتی مشتق
طرح درس
تمرین ها
قاعده زنجیری
طرح درس
تمرین ها
قضیه رل و مقدار میانگین
طرح درس
تمرین ها
مشتق گیری ضمنی
طرح درس
تمرین ها
جمع بندی محاسبه مشتق
طرح درس
مسائل مروری
مسائل چالشی
ضمیمه 1: اثبات قاعده زنجیری
ضمیمه 2: اثبات قضیه مقدار میانگین
کاربرد مشتق
مقدمه
تفسیر نموداری مشتق
طرح درس
تمرین ها
نقاط اکسترمم و بهینه سازی
طرح درس
تمرین ها
سرعت
طرح درس
تمرین ها
تقریب خط مماس
طرح درس
تمرین ها
روش نیوتون
طرح درس
تمرین ها
نرخ های وابسته
طرح درس
تمرین ها
مسائل مروری
مسائل چالشی
انتگرال
مقدمه
مساحت زیر نمودار
طرح درس
تمرین ها
قضیه اساسی حساب دیفرانسیل و انتگرال
طرح درس
تمرین ها
انتگرال نامعین
طرح درس
تمرین ها
کاربردهای انتگرال معین
طرح درس
تمرین ها
روش های تقریب
طرح درس
تمرین ها
مسائل مروری
مسائل چالشی
ضمیمه 1: تعریف فرمال log و exp
ضمیمه 2: قاعده سیمسون
بی نهایت
مقدمه
میل دادن به سمت بی نهایت
طرح درس
تمرین ها
میل کردن به سمت بی نهایت
طرح درس
تمرین ها
فرم های نامعین گویا و قانون هوپیتال
طرح درس
تمرین ها
فرم های نامعین نمایی
طرح درس
تمرین ها
انتگرال های نامعین
طرح درس
تمرین ها
مسائل مروری
مسائل چالشی
ضمیمه: اثبات قانون هوپیتال
سری ها
دنباله های نامتناهی
طرح درس
تمرین ها
سری های نامتناهی
طرح درس
تمرین ها
آزمون های همگرایی سری ها
طرح درس
تمرین ها
سری های متناوب
طرح درس
تمرین ها
چندجمله ای های تیلور
طرح درس
تمرین ها
سری تیلور
طرح درس
تمرین ها
مسائل مروری
مسائل چالشی
ضمیمه: یک فرمول عجیب برای پی
منحنی های مسطح
خم های پارامتری
طرح درس
تمرین ها
بیشتر بدانید
مختصات قطبی
طرح درس
تمرین ها
مساحت در مختصات قطبی
طرح درس
تمرین ها
مسائل مروری
مسائل چالشی
معادلات دیفرانسیل
تعاریف و مثال های ابتدایی
طرح درس
تمرین ها
معادلات دیفرانسیل خطی مرتبه دوم
طرح درس
تمرین ها
مسائل مروری
مسائل چالشی
ضمیمه: روش اویلر
ریاضی 1
عدد
مقدمه
عدد چیست؟
طرح درس
تمرین ها
اعداد حقیقی
طرح درس
تمرین ها
عملیات جبری و ترسیم های هندسی
طرح درس
تمرین ها
جمع بندی
اعداد مختلط (1)
طرح درس
تمرین ها
اعداد مختلط (2)
طرح درس
تمرین ها
اعداد مختلط و تبدیلات هندسی
طرح درس
تمرین ها
دنباله های عددی
طرح درس
تمرین ها
تابع، محاسبه و تقریب
مقدمه
پایداری محاسبه
طرح درس
تمرین ها
تابع های پیوسته؛ مثال های ابتدایی
طرح درس
تمرین ها
خواص تابع های پیوسته (1)
طرح درس
تمرین ها
خواص تابع های پیوسته (2)
طرح درس
تمرین ها
مفهوم حد
طرح درس
تمرین ها
مشتق
مقدمه
مفهوم مشتق
طرح درس
تمرین ها
نتایج اولیه مشتق پذیری
طرح درس
تمرین ها
قاعده زنجیری، نمادگذاری لایب نیتس
طرح درس
تمرین ها (صفحه اول)
تمرین ها (صفحه دوم)
تقریب خطی
طرح درس
تمرین ها
نمودار تابع و کاربرد های آن
طرح درس
تمرین ها
بهینه سازی
طرح درس
تمرین ها
چندجمله ای تیلور و تقریب های مرتبه بالا
طرح درس
تمرین ها
انتگرال
مقدمه
مفهوم انتگرال
طرح درس
تمرین ها
قضیه بنیادی حساب دیفرانسیل و انتگرال
طرح درس
تمرین ها (صفحه اول)
تمرین ها (صفحه دوم)
برخی کاربردهای انتگرال
طرح درس
تمرین ها
دو قضیه مهم انتگرال
طرح درس
تمرین ها (صفحه اول)
تمرین ها (صفحه دوم)
انتگرال توابع گویا
طرح درس
تمرین ها
تابع نمایی
طرح درس
تمرین ها (صفحه اول)
تمرین ها (صفحه دوم)
محاسبه تقریبی انتگرال
طرح درس
تمرین ها
انتگرال های ناسره
طرح درس
تمرین ها (صفحه اول)
تمرین ها (صفحه دوم)
معادلات دیفرانسیل
مقدمه
مدل های رشد و زوال
طرح درس
تمرین ها
میدان شیب، قضیه بنیادی و دستگاه های تعینی
طرح درس
تمرین ها
تابع های متعالی و معادلات دیفرانسیل
طرح درس
تمرین ها
سری های عددی و تابعی
مقدمه
سری های عددی (1)
طرح درس
تمرین ها
سری های عددی (2)
طرح درس
تمرین ها
سری های توانی و توابع تحلیلی (1)
طرح درس
تمرین ها
سری های توانی و توابع تحلیلی (2)
طرح درس
تمرین ها
سری فوریه
طرح درس
تمرین ها
ریاضی 2
فضا
مقدمه
فضای حقیقی n بعدی
طرح درس
تمرین ها
زیرفضاهای مستوی R به توان n
طرح درس
تمرین ها
ضرب داخلی و هندسه اقلیدسی در R به توان n
طرح درس
تمرین ها (صفحه اول)
تمرین ها (صفحه دوم)
نگاشت خطی (1)
طرح درس
تمرین ها
نگاشت خطی (2)
طرح درس
تمرین ها (صفحه اول)
تمرین ها (صفحه دوم)
مساحت، حجم و ضرب خارجی در R به توان 3
طرح درس
تمرین ها (صفحه اول)
تمرین ها (صفحه دوم)
حجم و دترمینان در R به توان n
طرح درس
تمرین ها
ویژه مقدار و ویژه راستا
طرح درس
تمرین ها (صفحه اول)
تمرین ها (صفحه دوم)
نگاشت های خطی خاص
طرح درس
تمرین ها
هندسه خم های هموار
مقدمه
خم های هموار در R به توان n: کلیات
طرح درس
تمرین ها
انحنای خم
طرح درس
تمرین ها
خم های فضایی
طرح درس
تمرین ها
توابع چند متغیره
مقدمه
نمایش توابع چند متغیره
طرح درس
تمرین ها
ابررویه های درجه دوم
طرح درس
تمرین ها
پیوستگی و حد
طرح درس
تمرین ها
مشتق توابع چند متغیره و کاربرد های آن
مقدمه
مفاهیم مشتق
طرح درس
تمرین ها (صفحه اول)
تمرین ها (صفحه دوم)
نگاشت های مشتق پذیر
طرح درس (صفحه اول)
طرح درس (صفحه دوم)
تمرین ها (صفحه اول)
تمرین ها (صفحه دوم)
مشتق های پاره ای مرتبه بالا
طرح درس
تمرین ها (صفحه اول)
تمرین ها (صفحه دوم)
توابع ضمنی و معکوس
طرح درس
تمرین ها (صفحه اول)
تمرین ها (صفحه دوم)
بهینه سازی و مباحث مربوط به آن
طرح درس
تمرین ها
انتگرال چندمتغیره
مقدمه
مفهوم انتگرال چندمتغیره
طرح درس
تمرین ها
محاسبه انتگرال چندمتغیره
طرح درس
تمرین ها
تعویض متغیر و انتگرال ناسره
طرح درس
تمرین ها (صفحه اول)
تمرین ها (صفحه دوم)
تمرین ها (صفحه سوم)
آنالیز برداری
مقدمه
میدان برداری
طرح درس
تمرین ها (صفحه اول)
تمرین ها (صفحه دوم)
انتگرال روی خم
طرح درس
تمرین ها
قضایای انتگرال در صفحه
طرح درس
تمرین ها
انتگرال روی رویه
طرح درس
تمرین ها
قضایای انتگرال در فضا
طرح درس
تمرین ها (صفحه اول)
تمرین ها (صفحه دوم)
هنر حل مساله
GO
هنر حل مسئله: مقدمات
توابع نمایی و لگاریتم
توان های صحیح
توانهای کسری
ساده کردن عبارتهای رادیکالی
گویا کردن مخارج
لگاریتم ها
سوالات توابع نمایی و لگاریتم
پاسخ تمرین ها
مسائل و مسابقات
اعداد مختلط
ریشه مربعی 1-
اعمال حسابی اعداد مختلط
پاسخ تمرین ها
مسائل
معادلات خطی
معادله خطی چیست؟
یک معادله و یک مجهول
دو معادله و دو مجهول
مسائل کلامی
پاسخ تمرین ها
مسائل
نسبتها و تناسب
نسبت مستقیم و معکوس
محاسبه با نسبتها
ضریب تبدیل
درصد
پاسخ تمرین ها
مسائل
استفاده از اعداد صحیح
بخش پذیری
پایه
رقم یکان
حساب مانده ها
حقه ها
اعداد اول
مقسم های مشترک و غیر مشترک
پاسخ تمرین ها
مسائل
معادلات درجه دوم
معادله ی مربعی چیست؟
تجزیه معادلات مربعی
فرمول جواب های معادلات مربعی
تغییراتی در یک تم
جایگشت ها
جایگذاری ها
ریشه مربعی اعداد گنگ و موهومی
فراتر از معادلات مربعی
پاسخ تمرین ها
مسائل
تجزیه اعداد و محاسبات
تجزیه
محاسبات
پاسخ تمرین ها
مسائل
اعداد چه هستند
اعداد صحیح و گویا
کسرهای ساده شده و اعداد گنگ
اعداد مختلط و فراتر از آن
پاسخ تمرین ها
مسائل
مقدمه ای بر دوایر
پاسخ تمرین ها
زوایا
خط ، اشعه و پاره خط
رده بندی و اندازه گیری
زوایا و خطوط موازی
خم، پاره خط، برش و زاویه
زوایای بدست آمده از تقاطع خط و دایره
وظیفه سنگین اثبات
پاسخ تمرین ها
مثلث ها
رده بندی مثلث ها
اجزاء مثلث
نامساوی مثلث
قضیه فیثاغرس
مثلث های همنهشت
مثلث های متشابه
مقدمه ای بر مثلثات
مساحت مثلث
چند راهنمایی مفید
پاسخ تمرین ها
مسائل
چهارضلعی ها
مبانی
ذوزنقه
متوازی الاضلاع
لوزی
مستطیل و مربع
راهنمایی ها و مسائل
پاسخ تمرین ها
مسائل
چندضلعی ها
انواع چندضلعی ها
زوایا در چندضلعی ها
چندضلعی های منتظم
شش ضلعی های منتظم
پاسخ تمرین ها
مسائل
دنبال کردن زوایا
مسائل
مساحت ها
اشکال متشابه
قائده مشترک و ارتفاع مشترک
اشکال پیچیده
پاسخ تمرین ها
مسائل
قدرت مختصات دکارتی
برچسب گذاری صفحه
فایده مختصات چیست؟
مستقیم و باریک
نمودار خط
فرمول فاصله و معادله دایره
چهارراه ها
به زانو در آمدن
پاسخ تمرین ها
مسائل
قوت نقطه
مقدمه
اثبات قوت نقطه
پاسخ تمرین ها
مسائل
هندسه سه بعدی
صفحات، مساحت و حجم
کرات
مکعب ها و جعبه ها
منشور ها و استوانه ها
هرم ها و مخروط ها
چندوجهی ها
چگونه مسائل سه بعدی را حل کنیم
پاسخ تمرین ها
مسائل
تبدیلات
انتقال
دوران
تصویر آیینه ای
اعوجاج
لغزش
تغییرات بیشتر
اثبات تبدیلات
پاسخ تمرین ها
مسائل
نمونه مسائل هندسه
مسائل (1)
مسائل (2)
توابع
به ماشین خوش آمدید
رسم نمودار توابع
ورودی و خروجی
زوج و فرد
بعضی توابع خاص
قدر مطلق
جزء صحیح
چند ضابطه ای
تبدیل کردن یک تابع
پاسخ تمرین ها
مسائل
نامساوی ها
به چه کار آیند؟
نامساوی های خطی
نامساوی های مربعی
نامساوی های قدرمطلقی
یک نامساوی بدیهی
پاسخ تمرین ها
مسائل
عمل ها و رابطه ها
یک عمل چیست؟
خواص عمل ها
رابطه ها
پاسخ تمرین ها
مسائل
دنباله ها و سری ها
دنباله های حسابی
دنباله های هندسی
دنباله های بی نهایت
نماد جمع سری ها
دنباله ها
دنباله ها و میانگین
پاسخ تمرین ها
مسائل
یاد بگیریم بشماریم
چیزی برای یاد گرفتن هست؟
ضرب کردن
مثال: تعداد مقسم ها
محدودیت ها روی ضرب
جایگشت ها، ترتیب ها و فاکتوریل
با هم مخلوط کنیم
شمارش موضوع اشتباهی، قسمت 1
شمارش موضوع اشتباهی، قسمت 2
شمارش را جور دیگری انجام دهیم
قضیه بسط دو جمله ای
پاسخ تمرین ها
مسائل
آمار و احتمال
آمار
احتمال و درک روزمره
ضرب احتمالات
حالت بندی
احتمال عدم وقوع
چه انتظار داشتید؟
پاسخ تمرین ها
مسائل
مجموعه ها
چند تعریف
اعمال روی مجموعه ها
نمودار ون
زیر مجموعه ها
پاسخ تمرین ها
مسائل
اثبات کنید
کلام، کلام، کلام
تناقض
برعکس گزاره ها لزوما درست نیستند
استقراء ریاضی
اصل لانه کبوتری
قانع کننده اما غلط
پاسخ تمرین ها
مسائل
تیر خداحافظی
مسائل (1)
مسائل (2)
هنر حل مسئله: جبر متوسطه
تکنیک های مقدماتی حل معادلات
مقدمه
جداسازی
آموزش از طریق حل مسئله
تمرین ها
جای گذاری
آموزش از طریق حل مسئله
تمرین ها
حذف
آموزش از طریق حل مسئله
تمرین ها
دستگاه های بزرگتر معادلات خطی
آموزش از طریق حل مسئله
تمرین ها
جمع بندی
مسائل مروری
مسائل چالشی
مروری بر توابع
مقدمات تابع
آموزش از طریق حل مسئله
تمرین ها
ترسیم توابع
آموزش از طریق حل مسئله
تمرین ها
ترکیب
آموزش از طریق حل مسئله
تمرین ها
وارون توابع
آموزش از طریق حل مسئله
تمرین ها
جمع بندی
مسائل مروری (صفحه اول)
مسائل مروری (صفحه دوم)
مسائل چالشی
اعداد مختلط
مقدمه
حساب اعداد مختلط
آموزش از طریق حل مسئله
تمرین ها
صفحه مختلط
آموزش از طریق حل مسئله
تمرین ها
بخش های حقیقی و موهومی
آموزش از طریق حل مسئله
تمرین ها
ترسیم در صفحه مختلط
آموزش از طریق حل مسئله
تمرین ها
جمع بندی
مسائل مروری
مسائل چالشی
بیشتر بدانید!
معادلات درجه دوم
مقدمه
تجزیه عبارات درجه دوم
آموزش از طریق حل مسئله
تمرین ها
ارتباط برقرار کردن بین ریشه ها و ضرایب
آموزش از طریق حل مسئله
تمرین ها
مربع سازی
آموزش از طریق حل مسئله
تمرین ها
مبین
آموزش از طریق حل مسئله
تمرین ها
نابرابری های درجه دوم
آموزش از طریق حل مسئله
تمرین ها
جمع بندی
مسائل مروری (صفحه اول)
مسائل مروری (صفحه دوم)
مسائل چالشی (صفحه اول)
مسائل چالشی (صفحه دوم)
مقاطع مخروطی
مقدمه
سهمی ها
آموزش از طریق حل مسئله
تمرین ها
حل مسئله با سهمی ها
آموزش از طریق حل مسئله
تمرین ها
ماکسیمم و مینیمم عبارات درجه دوم
آموزش از طریق حل مسئله
تمرین ها
دوایر
آموزش از طریق حل مسئله
تمرین ها
بیضی ها
آموزش از طریق حل مسئله
تمرین ها
هذلولی ها
آموزش از طریق حل مسئله
تمرین ها
جمع بندی
مسائل مروری (صفحه اول)
مسائل مروری (صفحه دوم)
مسائل چالشی (صفحه اول)
مسائل چالشی (صفحه دوم)
تقسیم چندجمله ای ها
مقدمه
مروری بر چندجمله ای
آموزش از طریق حل مسئله
تمرین ها
آشنایی با تقسیم چندجمله ای ها
آموزش از طریق حل مسئله
تمرین ها
تقسیم مرکب
آموزش از طریق حل مسئله
تمرین ها
قضیه باقیمانده
آموزش از طریق حل مسئله
تمرین ها
جمع بندی
مسائل مروری
مسائل چالشی
ریشه های چندجمله ای ها (بخش اول)
مقدمه
قضیه عامل
آموزش از طریق حل مسئله
تمرین ها
ریشه های صحیح
آموزش از طریق حل مسئله
تمرین ها
ریشه های گویا
آموزش از طریق حل مسئله
تمرین ها
کران ها
آموزش از طریق حل مسئله
تمرین ها
ترسیم و قضیه اساسی جبر
آموزش از طریق حل مسئله
تمرین ها
کاربردهای جبری قضیه اساسی
آموزش از طریق حل مسئله
تمرین ها
جمع بندی
مسائل مروری (صفحه اول)
مسائل مروری (صفحه دوم)
مسائل چالشی
بیشتر بدانید!
ریشه های چندجمله ای ها (بخش دوم)
مقدمه
ریشه های گنگ
آموزش از طریق حل مسئله
تمرین ها
ریشه های غیرحقیقی
آموزش از طریق حل مسئله
تمرین ها
فرمول ویت
آموزش از طریق حل مسئله
تمرین ها
به کار بردن ریشه ها برای ساختن معادلات
آموزش از طریق حل مسئله
تمرین ها
جمع بندی
مسائل مروری (صفحه اول)
مسائل مروری (صفحه دوم)
مسائل چالشی (صفحه اول)
مسائل چالشی (صفحه دوم)
بیشتر بدانید!
تجزیه چندجمله ای های چندمتغیره
مقدمه
گروه بندی
آموزش از طریق حل مسئله
تمرین ها
جمع و تفریق توان ها
آموزش از طریق حل مسئله
تمرین ها
قضیه عامل برای چندجمله ای های چندمتغیره
آموزش از طریق حل مسئله
تمرین ها
جمع بندی
مسائل مروری (صفحه اول)
مسائل مروری (صفحه دوم)
مسائل چالشی (صفحه اول)
مسائل چالشی (صفحه دوم)
دنباله ها و سری ها
مقدمه
دنباله های حسابی
آموزش از طریق حل مسئله
تمرین ها
سری های حسابی
آموزش از طریق حل مسئله
تمرین ها
دنباله های هندسی
آموزش از طریق حل مسئله
تمرین ها
سری های هندسی
آموزش از طریق حل مسئله
تمرین ها
دنباله، نماد جمع زنی و ضرب
آموزش از طریق حل مسئله
تمرین ها
جمع و ضرب های تودرتو
آموزش از طریق حل مسئله
تمرین ها
جمع بندی
مسائل مروری (صفحه اول)
مسائل مروری (صفحه دوم)
مسائل چالشی (صفحه اول)
مسائل چالشی (صفحه دوم)
اتحادها، شگردها و استقرا
مقدمه
روش "Brute Force"
آموزش از طریق حل مسئله
تمرین ها
نسبت ها
آموزش از طریق حل مسئله
تمرین ها
استقرا
آموزش از طریق حل مسئله
تمرین ها
قضیه دوجمله ای
آموزش از طریق حل مسئله
تمرین ها
جمع بندی
مسائل مروری (صفحه اول)
مسائل مروری (صفحه دوم)
مسائل چالشی (صفحه اول)
مسائل چالشی (صفحه دوم)
نابرابری ها
مقدمه
کار کردن با نابرابری ها
آموزش از طریق حل مسئله
تمرین ها
نابرابری بدیهی
آموزش از طریق حل مسئله
تمرین ها
نابرابری حسابی-هندسی با دو متغیر
آموزش از طریق حل مسئله
تمرین ها
نابرابری حسابی-هندسی با متغیرهای بیشتر
آموزش از طریق حل مسئله
تمرین ها
نابرابری کوشی-شوارتز
آموزش از طریق حل مسئله
تمرین ها
ماکسیمم و مینیمم
آموزش از طریق حل مسئله
تمرین ها
جمع بندی
مسائل مروری (صفحه اول)
مسائل مروری (صفحه دوم)
مسائل چالشی
مسائل چالشی (صفحه دوم)
بیشتر بدانید!
توان و لگاریتم
مقدمه
مقدمات تابع نمایی
آموزش از طریق حل مسئله
تمرین ها
آشنایی با لگاریتم
آموزش از طریق حل مسئله
تمرین ها
اتحادهای لگاریتمی
آموزش از طریق حل مسئله
تمرین ها
استفاده از اتحادهای لگاریتمی
آموزش از طریق حل مسئله
تمرین ها
تعویض بین لگاریتم و توان
آموزش از طریق حل مسئله
تمرین ها
لگاریتم های طبیعی و فروپاشی نمایی
آموزش از طریق حل مسئله
تمرین ها
جمع بندی
مسائل مروری (صفحه اول)
مسائل مروری (صفحه دوم)
مسائل چالشی (صفحه اول)
مسائل چالشی (صفحه دوم)
رادیکال ها
مقدمه
به توان رساندن رادیکال ها
آموزش از طریق حل مسئله
تمرین ها
محاسبه عبارات شامل رادیکال ها
آموزش از طریق حل مسئله
تمرین ها
مزدوج رادیکالی
آموزش از طریق حل مسئله
تمرین ها
جمع بندی
مسائل مروری
مسائل چالشی
رده های ویژه توابع
توابع گویا و نمودار آن ها
آموزش از طریق حل مسئله
تمرین ها
معادلات توابع گویا و نابرابری ها
آموزش از طریق حل مسئله
تمرین ها
توابع زوج و فرد
آموزش از طریق حل مسئله
تمرین ها
توابع یکنوا
آموزش از طریق حل مسئله
تمرین ها
جمع بندی
مسائل مروری (صفحه اول)
مسائل مروری (صفحه دوم)
مسائل چالشی
بیشتر بدانید!
توابع قطعه به قطعه تعریف شده
مقدمه
آشنایی با توابع قطعه قطعه تعریف شده
آموزش از طریق حل مسئله
تمرین ها
قدر مطلق
آموزش از طریق حل مسئله
تمرین ها
ترسیم قدر مطلق
آموزش از طریق حل مسئله
تمرین ها
کف و سقف
آموزش از طریق حل مسئله
تمرین ها
حل مسئله با تابع کف
آموزش از طریق حل مسئله
تمرین ها
جمع بندی
مسائل مروری (صفحه اول)
مسائل مروری (صفحه دوم)
مسائل چالشی (صفحه اول)
مسائل چالشی (صفحه دوم)
دنباله ها و سری های بیشتر
مقدمه
جبر دنباله های بازگشتی
آموزش از طریق حل مسئله
تمرین ها
تلسکوپی
آموزش از طریق حل مسئله
تمرین ها
حاصل جمع سری های چندجمله ای
آموزش از طریق حل مسئله
تمرین ها
سری های حسابی-هندسی
آموزش از طریق حل مسئله
تمرین ها
تفاضل های متناهی
آموزش از طریق حل مسئله
تمرین ها
جمع بندی
مسائل مروری
مسائل چالشی
نابرابری های بیشتر
زنجیر نامساوی های میانگین
آموزش از طریق حل مسئله
تمرین ها
نامساوی جایگشتی
آموزش از طریق حل مسئله
تمرین ها
وقتی فرمول ها جواب نمی دهند
آموزش از طریق حل مسئله
تمرین ها
جمع بندی
مسائل مروری (صفحه اول)
مسائل مروری (صفحه دوم)
مسائل چالشی (صفحه اول)
مسائل چالشی (صفحه دوم)
معادلات تابعی
مقدمه
پیدا کردن مقادیر
آموزش از طریق حل مسئله
تمرین ها
پیدا کردن توابع با جایگذاری
آموزش از طریق حل مسئله
تمرین ها
جداسازی
آموزش از طریق حل مسئله
تمرین ها
توابع دوری
آموزش از طریق حل مسئله
تمرین ها
جمع بندی
مسائل مروری
مسائل چالشی
برخی استراتژی های پیشرفته
مقدمه
تقارن
آموزش از طریق حل مسئله
تمرین ها
جای گذاری برای ساده سازی
آموزش از طریق حل مسئله
تمرین ها
روش ضرایب نامعین
آموزش از طریق حل مسئله
تمرین ها
ساختن چندجمله ای ها از ریشه ها
آموزش از طریق حل مسئله
تمرین ها
مقسوم علیه های مشترک چندجمله ای ها
آموزش از طریق حل مسئله
تمرین ها
مواجهه دوباره با جمع های متقارن
آموزش از طریق حل مسئله
تمرین ها
جمع بندی
مسائل مروری (صفحه اول)
مسائل مروری (صفحه دوم)
مسائل چالشی (صفحه اول)
مسائل چالشی (صفحه دوم)
راهنمایی مسائل ستاره دار
هنر حل مسأله: آشنایی با جبر
پیروی کردن از قوانین
مقدمه
اعداد
آموزش از طریق حل مسئله
ترتیب عملیات
آموزش از طریق حل مسئله
تمرین ها
چه زمانی ترتیب مهم است؟
آموزش از طریق حل مسئله
تمرین ها
پخشی و فاکتورگیری
آموزش از طریق حل مسئله
تمرین ها
معادلات
آموزش از طریق حل مسئله
تمرین ها
جمع بندی
x مکان را معلوم می کند
مقدمه
عبارت ها
آموزش از طریق حل مسئله
تمرین ها
حساب مربوط به عبارت ها
آموزش از طریق حل مسئله
تمرین ها
پخشی، تفریق و فاکتورگیری
آموزش از طریق حل مسئله
تمرین ها
کسرها
آموزش از طریق حل مسئله
تمرین ها
جمع بندی
مسائل مروری (صفحه اول)
مسائل مروری (صفحه دوم)
مسائل چالشی
معادلات خطی تک متغیره
مقدمه
حل کردن معادلات خطی (1)
آموزش از طریق حل مسئله
تمرین ها
حل کردن معادلات خطی (2)
آموزش از طریق حل مسئله
تمرین ها
مسائل با صورت کلامی
آموزش از طریق حل مسئله
تمرین ها
معادلات خطی با تغییر ظاهر
آموزش از طریق حل مسئله
تمرین ها
جمع بندی
مسائل مروری
مسائل چالشی
متغیرهای بیشتر
مقدمه
تعیین مقادیر عبارات چندمتغیره
آموزش از طریق حل مسئله
تمرین ها
باز هم حساب بیشتر
آموزش از طریق حل مسئله
تمرین ها
پخشی و فاگتورگیری
آموزش از طریق حل مسئله
تمرین ها
کسرها
آموزش از طریق حل مسئله
تمرین ها
معادلات
آموزش از طریق حل مسئله
تمرین ها
جمع بندی
مسائل مروری
مسائل چالشی
معادلات خطی چندمتغیره
مقدمه
آشنایی با معادلات خطی دو متغیره
آموزش از طریق حل مسئله
تمرین ها
روش جای گذاری
آموزش از طریق حل مسئله
تمرین ها
روش حذفی
آموزش از طریق حل مسئله
تمرین ها
مسائل با صورت کلامی
آموزش از طریق حل مسئله
تمرین ها
معادلات خطی بیشتر با تغییر ظاهر
آموزش از طریق حل مسئله
تمرین ها
متغیرهای بیشتر
آموزش از طریق حل مسئله
تمرین ها
جمع بندی
مسائل مروری
مسائل چالشی
مطالب اضافی
نسبت و درصد
مسائل مقدماتی نسبت
آموزش از طریق حل مسئله
تمرین ها
مسائل دشوارتر نسبت
آموزش از طریق حل مسئله
تمرین ها
ضرایب تبدیل
آموزش از طریق حل مسئله
تمرین ها
درصد
آموزش از طریق حل مسئله
تمرین ها
مسائل مرتبط با درصد
آموزش از طریق حل مسئله
تمرین ها
جمع بندی
مسائل مروری (صفحه اول)
مسائل مروری (صفحه دوم)
مسائل چالشی
تناسب
تناسب مستقیم
آموزش از طریق حل مسئله
تمرین ها
تناسب معکوس
آموزش از طریق حل مسئله
تمرین ها
تناسب مرکب
آموزش از طریق حل مسئله
تمرین ها
مسائل سرعت
آموزش از طریق حل مسئله
تمرین ها
جمع بندی
مسائل مروری (صفحه اول)
مسائل مروری (صفحه دوم)
مسائل چالشی
ترسیم خطوط
مقدمه
محور اعداد و صفحه دکارتی
آموزش از طریق حل مسئله
تمرین ها
آشنایی با ترسیم معادلات خطی
آموزش از طریق حل مسئله
تمرین ها
استفاده از شیب در مسائل
آموزش از طریق حل مسئله
تمرین ها
یافتن معادله
آموزش از طریق حل مسئله
تمرین ها
شیب و تقاطع ها
آموزش از طریق حل مسئله
تمرین ها
مقایسه خطوط
آموزش از طریق حل مسئله
تمرین ها
جمع بندی
مسائل مروری (صفحه اول)
مسائل مروری (صفحه دوم)
مسائل چالشی
آشنایی با نابرابری ها
مقدمه
پایه ها
آموزش از طریق حل مسئله
تمرین ها
کدام یک بزرگتر است؟
آموزش از طریق حل مسئله
تمرین ها
نابرابری های خطی
آموزش از طریق حل مسئله
تمرین ها
ترسیم نابرابری ها
آموزش از طریق حل مسئله
تمرین ها
بهینه سازی
آموزش از طریق حل مسئله
تمرین ها
جمع بندی
مسائل مروری (صفحه اول)
مسائل مروری (صفحه دوم)
مسائل چالشی
معادلات درجه دوم (1)
مقدمه
شروع کار با عبارات درجه دوم
آموزش از طریق حل مسئله
تمرین ها
تجزیه عبارات درجه دوم (1)
آموزش از طریق حل مسئله
تمرین ها
تجزیه عبارات درجه دوم (2)
آموزش از طریق حل مسئله
تمرین ها
مجموع و حاصل ضرب ریشه های یک معادله درجه دوم
آموزش از طریق حل مسئله
تمرین ها
توسعه و کاربردها
آموزش از طریق حل مسئله
تمرین ها
جمع بندی
مسائل مروری (صفحه اول)
مسائل مروری (صفحه دوم)
مسائل چالشی
تجزیه های خاص
مقدمه
مربع دوجمله ای
آموزش از طریق حل مسئله
تمرین ها
تفاضل مربعات
آموزش از طریق حل مسئله
تمرین ها
مجموع و تفاضل مکعبات
آموزش از طریق حل مسئله
تمرین ها
گویاسازی مخرج
آموزش از طریق حل مسئله
تمرین ها
ترفند تجزیه محبوب سیمون
آموزش از طریق حل مسئله
تمرین ها
جمع بندی
مسائل مروری (صفحه اول)
مسائل مروری (صفحه دوم)
مسائل چالشی
اعداد مختلط
اعداد، اعداد و اعداد بیشتر!
آموزش از طریق حل مسئله
اعداد موهومی
آموزش از طریق حل مسئله
تمرین ها
اعداد مختلط
آموزش از طریق حل مسئله
تمرین ها
جمع بندی
مسائل مروری
مسائل چالشی
معادلات درجه دوم (2)
مقدمه
دوباره مربع دوجمله ای
آموزش از طریق حل مسئله
تمرین ها
مربع کامل سازی
آموزش از طریق حل مسئله
تمرین ها
فرمول معادله درجه دوم
آموزش از طریق حل مسئله
تمرین ها
توسعه و کاربردها
آموزش از طریق حل مسئله
تمرین ها
جمع بندی
مسائل مروری (صفحه دوم)
مسائل مروری (صفحه اول)
مسائل چالشی
ترسیم معادلات درجه دوم
مقدمه
سهمی ها
آموزش از طریق حل مسئله
تمرین ها
دایره ها
آموزش از طریق حل مسئله
تمرین ها
جمع بندی
مسائل مروری
مسائل چالشی
نابرابری های بیشتر
مقدمه
نابرابری های درجه دوم
آموزش از طریق حل مسئله
تمرین ها
فراتر از درجه دوم
آموزش از طریق حل مسئله
تمرین ها
نابرابری بدیهی
آموزش از طریق حل مسئله
تمرین ها
بهینه سازی درجه دوم
آموزش از طریق حل مسئله
تمرین ها
جمع بندی
مسائل مروری
مسائل چالشی (صفحه اول)
مسائل چالشی (صفحه دوم)
توابع
ماشین
آموزش از طریق حل مسئله
تمرین ها
عملیات بین توابع
آموزش از طریق حل مسئله
تمرین ها
ترکیب
آموزش از طریق حل مسئله
تمرین ها
توابع معکوس
آموزش از طریق حل مسئله
تمرین ها
حل مسئله در مورد توابع
آموزش از طریق حل مسئله
تمرین ها
عملیات
آموزش از طریق حل مسئله
تمرین ها
جمع بندی
مسائل مروری (صفحه اول)
مسائل مروری (صفحه دوم)
مسائل چالشی
ترسیم توابع
مقدمات
آموزش از طریق حل مسئله
تمرین ها
تبدیلات
آموزش از طریق حل مسئله
تمرین ها
مواجهه جدید با وارون توابع
آموزش از طریق حل مسئله
تمرین ها
جمع بندی
مسائل مروری
مسائل چالشی
چندجمله ای ها
مقدمه
جمع و تفریق
آموزش از طریق حل مسئله
تمرین ها
ضرب
آموزش از طریق حل مسئله
تمرین ها
جمع بندی
مسائل مروری
مسائل چالشی
مطالب اضافی
توابع نمایی و لگاریتمی
مقدمه
توابع نمایی
آموزش از طریق حل مسئله
تمرین ها
محاسبات مالی
آموزش از طریق حل مسئله
تمرین ها
مسائل بهره
آموزش از طریق حل مسئله
تمرین ها
لگاریتم چیست؟
آموزش از طریق حل مسئله
تمرین ها
جمع بندی
مسائل مروری
مسائل چالشی
توابع خاص
رادیکال
آموزش از طریق حل مسئله
تمرین ها
قدرمطلق
آموزش از طریق حل مسئله
تمرین ها
کف و سقف
آموزش از طریق حل مسئله
تمرین ها
توابع گویا
آموزش از طریق حل مسئله
تمرین ها
توابع چندضابطه ای
آموزش از طریق حل مسئله
تمرین ها
جمع بندی
مسائل مروری (صفحه اول)
مسائل مروی (صفحه دوم)
مسائل چالشی (صفحه اول)
مسائل چالشی (صفحه دوم)
دنباله و سری
مقدمه
دنباله های حسابی
آموزش از طریق حل مسئله
تمرین ها
سری های حسابی
آموزش از طریق حل مسئله
تمرین ها
دنباله های هندسی
آموزش از طریق حل مسئله
تمرین ها
سری های هندسی
آموزش از طریق حل مسئله
تمرین ها
تلسکوپی
آموزش از طریق حل مسئله
تمرین ها
جمع بندی
مطالب اضافی
مسائل مروری (صفحه اول)
مسائل مروری (صفحه دوم)
مسائل چالشی
مهارت های ویژه
مقدمه
به توان رساندن معادلات
آموزش از طریق حل مسئله
تمرین ها
خود تشابهی در عبارات
آموزش از طریق حل مسئله
تمرین ها
تقارن
آموزش از طریق حل مسئله
تمرین ها
جمع بندی
مسائل مروری
مسائل چالشی (صفحه اول)
مسائل چالشی (صفحه دوم)
راهنمایی ها (مخصوص مسائل ستاره دار)
هنر حل مسئله: و فراتر
اثبات کنید!
لگاریتم
طرح درس
پاسخ تمرین ها
مسائل
نه فقط برای مثلث های قائم الزاویه
توابع مثلثاتی
ترسیم توابع مثلثاتی
بازگشتن
کار کردن همزمان با همگی
حل کردن مسائل با کمک اتحادهای مثلثاتی
پاسخ تمرین ها
مسائل (1)
مسائل (2)
مثلث های بیشتر!
قواعد مثلث
مساحت، مساحت و مساحت
خطوط مهم بیشتر
پاسخ تمرین ها
مسائل (1)
مسائل (2)
چهارضلعی های محاطی
خواص چهارضلعی های محاطی
یافتن چهارضلعی های محاطی
قضیه بطلمیوس
پاسخ تمرین ها
مسائل
مقاطع مخروطی و مختصات قطبی
مقدمه
سهمی
بیضی
هذلولی
مواجهه دوباره با مختصات قطبی
جمله مزاحم xy
پاسخ تمرین ها
مسائل
چندجمله ای ها
چندجمله ای چیست؟
ضرب و تقسیم چندجمله ای ها
یافتن ریشه های چندجمله ای ها
ضرایب و ریشه ها
تبدیل کردن چندجمله ای ها
حاصل جمع های نیوتون
پاسخ تمرین ها
مسائل (1)
مسائل (2)
توابع
وارون تابع
معادلات تابعی
حل معادلات تابعی
پاسخ تمرین ها
مسائل (1)
مسائل (2)
حد
حد چیست؟
گول زننده
کار کردن با حد
پیوستگی
مجانب ها
حد توابع مثلثاتی
e
پاسخ تمرین ها
مسائل
اعدادمختلط
ترسیم
قدرمطلق
ضرب اعداد مختلط و مختصات
به توان رساندن اعداد مختلط و هندسه
قضیه دموار
فرم نمایی
یک تیر و دو نشان
ریشه های واحد
پاسخ تمرین ها
مسائل
بردارها و ماتریس ها
بردار چیست؟
ضرب داخلی
نمایش مختصاتی بردارها
ماتریس چیست؟
ضرب ماتریسی
ماتریس های ابعاد بالاتر
نمادگذاری بهتر ماتریس
پاسخ تمرین ها
مسائل
ضرب خارجی و دترمینان
ضرب خارجی
ضرب خارجی بر حسب مختصات
دترمینان
دترمینان در ابعاد بالاتر
کهادها
عملیات سطری و ستونی
وارون ماتریس
پاسخ تمرین ها
مسائل
هندسه تحلیلی
خط، زاویه و فاصله
پارامترها
بردار
نقطه، خط و صفحه
سطوح منحنی
به کار بردن هندسه تحلیلی
بردارها و مسائل هندسه
پاسخ تمرین ها
مسائل
معادلات و عبارات جبری
معادلات خطی
دستگاه های معادلات راحت
عبارات متقارن و تجزیه های پیشرفته
باز هم چندجمله ای
مربع و مکعب
کمک گرفتن از ترسیم
پاسخ تمرین ها
مسائل (1)
مسائل (2)
نابرابری ها
مقدمه
مواجهه دوباره با نابرابری بدیهی
نابرابری میانگین حسابی-هندسی
نابرابری کوشی
بیشینه سازی و کمینه سازی
هندسه و نابرابری ها
اشارات پایانی
پاسخ تمرین ها
مسائل (1)
مسائل (2)
ترکیبیات
اتحادها
اتحاد پاسکال
اتحادهای بیشتر
تکنیک "قدم زدن در قطعات (Block Walking)"
قضیه دوجمله ای
پاسخ تمرین ها
مسائل
دنباله ها و سری ها
کسرها در مبناهای دیگر
برخی سری های خاص
اعداد فیبوناچی
کار کردن با روابط بازگشتی
کار کردن با جمع ها
مواجهه دوباره با قضیه دوجمله ای
دنباله های هارمونیک
پاسخ تمرین ها
مسائل (1)
مسائل (2)
مسائل (3)
روش های عجیب و غریب شمارش
مقدمه
یک به یکی
تناظرهای هوشمندانه
تمرین ها
اصل شمول و عدم شمول
توابع مولد
افرازها
شمارش روی جداول
شمارش مجموعه های نامتناهی
پاسخ تمرین ها
مسائل (1)
مسائل (2)
دوباره و دوباره
تکرارها
نامتناهی راحت تر است
کسرهای مسلسل گویا
کسرهای مسلسل حقیقی
پاسخ تمرین ها
مسائل
احتمال
مقدمه
مرور، تعاریف و نمادگذاری
یک گام جلوتر
هندسه و احتمال
احتمال شرطی
پاسخ تمرین ها
مسائل (1)
مسائل (2)
مکان هندسی و ترسیم
مکان هندسی
ترسیم
پاسخ تمرین ها
مسائل (1)
مسائل (2)
هم خطی و همرسی
سه نقطه و یک خط
سه خط و یک نقطه
پاسخ تمرین ها
مسائل
ریزه کاری هایی جذاب در هندسه
تصویر
انعکاس
تجانس
پیوستگی هندسی
قضیه سیلوستر
پاسخ تمرین ها
مسائل (1)
مسائل (2)
نظریه اعداد
بخش پذیری
تقسیم کردن در هم نهشتی ها
حل معادلات هم نهشتی خطی
حل معادلات هم نهشتی مربعی
حاضلجمع مقسوم علیه ها
قضیه فرما
تابع فی
قضیه ویلسون
پاسخ تمرین ها
مسائل (1)
مسائل (2)
مسائل (3)
معادلات دیوفانتی
ax+by=c
x^2+y^2=z^2
x^4+y^4=z^2
معادله پل
روش های عمومی
پاسخ تمرین ها
مسائل (1)
مسائل (2)
نظریه گراف
نقاط و خطوط
گراف مسطح
مثال: اجسام افلاطونی
گشت زدن روی گراف ها
تور اویلری
رنگ آمیزی ها
پاسخ تمرین ها
مسائل
تیر خداحافظی
مسائل (1)
مسائل (2)
مسائل (3)
مسائل (4)
مسائل (5)
مسائل (6)
هنر حل مسئله: پیش جبر
ویژگی های محاسبات
چرا با محاسبات شروع میکنیم؟
آموزش از طریق حل مسئله
جمع
آموزش از طریق حل مسئله
تمرین ها
ضرب
آموزش از طریق حل مسئله
تمرین ها
قرینه کردن
آموزش از طریق حل مسئله
تمرین ها
تفریق
آموزش از طریق حل مسئله
تمرین ها
معکوس ها
آموزش از طریق حل مسئله
تمرین ها
تقسیم
آموزش از طریق حل مسئله
تمرین ها
جمع بندی
مسائل مروری (صفحه اول)
مسائل مروری (صفحه دوم)
مسائل چالشی
توان ها
مقدمه
مربعات
آموزش از طریق حل مسئله
تمرین ها
توان های بالاتر
آموزش از طریق حل مسئله
تمرین ها
صفر به عنوان توان
آموزش از طریق حل مسئله
تمرین ها
توان های منفی
آموزش از طریق حل مسئله
تمرین ها
جمع بندی
مسائل مروری (صفحه اول)
مسائل مروری (صفحه دوم)
مسائل چالشی (صفحه اول)
مسائل چالشی (صفحه دوم)
نظریه اعداد
مقدمه
مضارب
آموزش از طریق حل مسئله
تمرین ها
آزمون بخش پذیری
آموزش از طریق حل مسئله
تمرین ها
اعداد اول
آموزش از طریق حل مسئله
تمرین ها
تجزیه به عوامل اول
آموزش از طریق حل مسئله
تمرین ها
کوچکترین مضرب مشترک
آموزش از طریق حل مسئله
تمرین ها
مقسوم علیه ها
آموزش از طریق حل مسئله
تمرین ها
بزرگ ترین مقسوم علیه مشترک
آموزش از طریق حل مسئله
تمرین ها
جمع بندی
مسائل مروری (صفحه اول)
مسائل مروری (صفحه دوم)
مسائل چالشی
کسرها
کسر چیست؟
آموزش از طریق حل مسئله
تمرین ها
ضربِ کسرها
آموزش از طریق حل مسئله
تمرین ها
تقسیم بر یک کسر
آموزش از طریق حل مسئله
تمرین ها
به توان رساندن کسرها
آموزش از طریق حل مسئله
تمرین ها
ساده ترین صورت کسر
آموزش از طریق حل مسئله
تمرین ها
مقایسه کسرها
آموزش از طریق حل مسئله
تمرین ها
حاصل جمع و تفریق کسرها
آموزش از طریق حل مسئله
تمرین ها
اعداد مخلوط
آموزش از طریق حل مسئله
تمرین ها
جمع بندی
مسائل مروری (صفحه اول)
مسائل مروری (صفحه دوم)
مسائل چالشی
معادله ها و نامعادله ها
عبارت های ریاضی
آموزش از طریق حل مسئله
تمرین ها
حل معادلات خطی (1)
آموزش از طریق حل مسئله
تمرین ها
حل معادلات خطی (2)
آموزش از طریق حل مسئله
تمرین ها
مسائل کلامی
آموزش از طریق حل مسئله
تمرین ها
نابرابری ها
آموزش از طریق حل مسئله
تمرین ها
جمع بندی
مسائل مروری (صفحه اول)
مسائل مروری (صفحه دوم)
مسائل چالشی
اعداد اعشاری
مقدمه
محاسبات اعشاری
آموزش از طریق حل مسئله
تمرین ها
گرد کردن
آموزش از طریق حل مسئله
تمرین ها
اعداد اعشاری و کسر ها
آموزش از طریق حل مسئله
تمرین ها
اعداد اعشاری متناوب
آموزش از طریق حل مسئله
تمرین ها
جمع بندی
مسائل مروری
مسائل چالشی
نسبت، تناسب و تبدیل
مقدمه
نسبت چیست؟
آموزش از طریق حل مسئله
تمرین ها
نسبت های چندجزئی
آموزش از طریق حل مسئله
تمرین ها
تناسب
آموزش از طریق حل مسئله
تمرین ها
تبدیل ها
آموزش از طریق حل مسئله
تمرین ها
سرعت حرکت
آموزش از طریق حل مسئله
تمرین ها
سرعت های دیگر
آموزش از طریق حل مسئله
تمرین ها
مسائل مروری (صفحه اول)
مسائل مروری (صفحه دوم)
مسائل چالشی
درصد
درصد چیست؟
آموزش از طریق حل مسئله
تمرین ها
مسائل کلامی
آموزش از طریق حل مسئله
تمرین ها
درصد رشد و نزول
آموزش از طریق حل مسئله
تمرین ها
جمع بندی
مسائل مروری (صفحه اول)
مسائل مروری (صفحه دوم)
مسائل چالشی
ریشه های دوم
مقدمه
از مربع کامل تا ریشه های دوم
آموزش از طریق حل مسئله
تمرین ها
ریشه های دوم اعداد غیر مربع کامل
آموزش از طریق حل مسئله
تمرین ها
محاسبات با ریشه های دوم
آموزش از طریق حل مسئله
تمرین ها
جمع بندی
مسائل مروری (صفحه اول)
مسائل مروری (صفحه دوم)
مسائل چالشی (صفحه اول)
مسائل چالشی (صفحه دوم)
زاویه ها
مقدمه
اندازه گیری زاویه ها
آموزش از طریق حل مسئله
تمرین ها
خطوط موازی
آموزش از طریق حل مسئله
تمرین ها
زوایا در چند ضلعی ها
آموزش از طریق حل مسئله
تمرین ها
جمع بندی
مسائل مروری
مسائل چالشی
محیط و مساحت
مقدمه
اندازه گیری پاره خط
آموزش از طریق حل مسئله
تمرین ها
مساحت
آموزش از طریق حل مسئله
تمرین ها
دایره ها
آموزش از طریق حل مسئله
تمرین ها
جمع بندی
مسائل مروری (صفحه اول)
مسائل مروری (صفحه دوم)
مسائل چالشی
مثلث قائم الزاویه و چهارضلعی ها
قضیه فیثاغورث
آموزش از طریق حل مسئله
تمرین ها
برخی مثلث های خاص
آموزش از طریق حل مسئله
تمرین ها
انواع چهارضلعی
آموزش از طریق حل مسئله
تمرین ها
جمع بندی
مسائل مروری
مسائل چالشی
داده ها و آمار
مقدمه
آمار پایه
آموزش از طریق حل مسئله
تمرین ها
حدود آمار پایه
آموزش از طریق حل مسئله
تمرین ها
جداول، نمودار ها و چارت ها
آموزش از طریق حل مسئله
تمرین ها
جمع بندی
مسائل مروری
مسائل چالشی
شمارش
مقدمه
شمردن با جمع و تفریق
آموزش از طریق حل مسئله
تمرین ها
اصل ضرب
آموزش از طریق حل مسئله
تمرین ها
حالت بندی
آموزش از طریق حل مسئله
تمرین ها
شمردن زوج ها
آموزش از طریق حل مسئله
تمرین ها
احتمال
آموزش از طریق حل مسئله
تمرین ها
جمع بندی
مسائل مروری (صفحه اول)
مسائل مروری (صفحه دوم)
مسائل چالشی
استراتژی های حل مسئله
مقدمه
یافتن الگو
آموزش از طریق حل مسئله
تمرین ها
ساختن یک لیست
آموزش از طریق حل مسئله
تمرین ها
کشیدن شکل
آموزش از طریق حل مسئله
تمرین ها
معکوس کار کردن
آموزش از طریق حل مسئله
تمرین ها
جمع بندی
مسائل مروری (صفحه اول)
مسائل مروری (صفحه دوم)
مسائل چالشی
راهنمایی ها (مخصوص مسائل ستاره دار)
هنر حل مسئله: آشنایی با هندسه
فایده ی اسم ها چیست؟
مقدمه
چرا اسم و نماد؟
آموزش از طریق حل مسئله
نقاط، خطوط و صفحات
آموزش از طریق حل مسئله
تمرین ها
گرد و گرد
آموزش از طریق حل مسئله
تمرین ها
ترسیم: کپی کردن یک پاره خط
آموزش از طریق حل مسئله
تمرین ها
بارِ اثبات
آموزش از طریق حل مسئله
جمع بندی
زاویه ها
زاویه چیست؟
آموزش از طریق حل مسئله
اندازه گیزی زوایا
آموزش از طریق حل مسئله
تمرین ها
زوایای نیم صفحه و متقابل به راس
آموزش از طریق حل مسئله
تمرین ها
خطوط موازی
آموزش از طریق حل مسئله
تمرین ها
زوایای درون مثلث
آموزش از طریق حل مسئله
تمرین ها
زوایای خارجی
آموزش از طریق حل مسئله
تمرین ها
بازبینی خطوط موازی
آموزش از طریق حل مسئله
تمرین ها
جمع بندی
مسائل مروری (صفحه اول)
مسائل مروری (صفحه دوم)
مسائل چالشی
مثلث های همنهشت
آشنایی
آموزش از طریق حل مسئله
همنهشتی " ض ض ض"
آموزش از طریق حل مسئله
تمرین ها
همنهشتی "ض ز ض"
آموزش از طریق حل مسئله
تمرین ها
همنهشتی های "ز ض ز" و "ز ز ض"
آموزش از طریق حل مسئله
تمرین ها
همنهشتی غیر الزامی "ض ض ز"
آموزش از طریق حل مسئله
مثلث های متساوی الساقین و متساوی الاضلاع
آموزش از طریق حل مسئله
تمرین ها
ترسیم: مثلث متساوی الاضلاع و عمود منصف
آموزش از طریق حل مسئله
تمرین ها
جمع بندی
مسائل مروری (صفحه اول)
مسائل مروری (صفحه دوم)
مسائل چالشی
محیط و مساحت
محیط
آموزش از طریق حل مسئله
تمرین ها
مساحت
آموزش از طریق حل مسئله
تمرین ها
قائده یکسان/ ارتفاع یکسان
آموزش از طریق حل مسئله
تمرین ها
جمع بندی
مسائل مروری
مسائل چالشی
مثلث های متشابه
تشابه چیست؟
آموزش از طریق حل مسئله
تمرین ها
تشابه "ز ز"
آموزش از طریق حل مسئله
تمرین ها
تشابه "ض ز ض"
آموزش از طریق حل مسئله
تمرین ها
تشابه "ض ض ض"
آموزش از طریق حل مسئله
تمرین ها
کاربرد تشابه در مسائل
آموزش از طریق حل مسئله
تمرین ها
ترسیم: خطوط موازی و زوایا
آموزش از طریق حل مسئله
تمرین ها
جمع بندی
مسائل مروری
مسائل چالشی
مثلث قائم الزاویه
مقدمه
قضیه فیثاغورس
آموزش از طریق حل مسئله
تمرین ها
دو مثلث قائم الزاویه خاص
آموزش از طریق حل مسئله
تمرین ها
اعداد فیثاغورسی
آموزش از طریق حل مسئله
تمرین ها
بازبینی تشابه و همنهشتی
آموزش از طریق حل مسئله
تمرین ها
فرمول هرون
آموزش از طریق حل مسئله
تمرین ها
ترسیم: خطوط عمود
آموزش از طریق حل مسئله
تمرین ها
جمع بندی
مسائل مروری (صفحه اول)
مسائل مروری (صفحه دوم)
مسائل چالشی
اجزای خاص مثلث
مقدمه
نیمساز و عمودمنصف
آموزش از طریق حل مسئله
تمرین ها
عمودمنصف های مثلث
آموزش از طریق حل مسئله
تمرین ها
نیمساز های مثلث
آموزش از طریق حل مسئله
تمرین ها
میانه ها
آموزش از طریق حل مسئله
تمرین ها
ارتفاع ها
آموزش از طریق حل مسئله
تمرین ها
مسئله های چالشی
آموزش از طریق حل مسئله
تمرین ها
ترسیم: نیمساز و عمودمنصف
آموزش از طریق حل مسئله
تمرین ها
جمع بندی
مسائل مروری
مسائل چالشی
چهارضلعی ها
پایه های چهارضلعی ها
آموزش از طریق حل مسئله
تمرین ها
ذوزنقه
آموزش از طریق حل مسئله
تمرین ها
متوازی الاضلاع
آموزش از طریق حل مسئله
تمرین ها
لوزی
آموزش از طریق حل مسئله
تمرین ها
مستطیل
آموزش از طریق حل مسئله
تمرین ها
مربع
آموزش از طریق حل مسئله
تمرین ها
اگر و تنها اگر
آموزش از طریق حل مسئله
تمرین ها
مسائل چهارضلعی ها
آموزش از طریق حل مسئله
تمرین ها
جمع بندی
مسائل مروری (صفحه اول)
مسائل مروری (صفحه دوم)
مسائل چالشی
چندضلعی ها
آشنایی با چندضلعی ها
آموزش از طریق حل مسئله
تمرین ها
زاویه در چندضلعی ها
آموزش از طریق حل مسئله
تمرین ها
محیط چندضلعی
آموزش از طریق حل مسئله
تمرین ها
مسائل چندضلعی ها
آموزش از طریق حل مسئله
تمرین ها
ترسیم: چندضلعی های منتظم
آموزش از طریق حل مسئله
تمرین ها
جمع بندی
مسائل مروری
مسائل چالشی
نامساوی های هندسی
مقدمه
اضلاع و زوایای یک مثلث
آموزش از طریق حل مسئله
تمرین ها
فیثاغورس- نه تنها برای مثلث قائم الزاویه؟
آموزش از طریق حل مسئله
تمرین ها
نابرابری مثلثی
آموزش از طریق حل مسئله
تمرین ها
جمع بندی
مسائل مروری
مسائل چالشی
دایره ها
اندازه کمان، طول کمان و محیط
آموزش از طریق حل مسئله
تمرین ها
مساحت
آموزش از طریق حل مسئله
تمرین ها
مساحت های عجیب تر
آموزش از طریق حل مسئله
تمرین ها
جمع بندی
مسائل مروری
مسائل چالشی
دوایر و زوایا
مقدمه
زوایای محیطی
آموزش از طریق حل مسئله
تمرین ها
زوایای داخل و خارج دایره
آموزش از طریق حل مسئله
تمرین ها
مماس ها
آموزش از طریق حل مسئله
تمرین ها
مسائل
آموزش از طریق حل مسئله
تمرین ها
ترسیم: مماس ها
آموزش از طریق حل مسئله
تمرین ها
جمع بندی
مسائل مروری (صفحه اول)
مسائل مروری (صفحه دوم)
مسائل چالشی (صفحه اول)
مسائل چالشی (صفحه دوم)
قوت یک نقطه
مقدمه
قوت یک نقطه چیست؟
آموزش از طریق حل مسئله
تمرین ها
مسائل قوت نقطه
آموزش از طریق حل مسئله
تمرین ها
جمع بندی
مسائل مروری
مسائل چالشی
هندسه سه بعدی
مقدمه
صفحات
آموزش از طریق حل مسئله
تمرین ها
منشور ها
آموزش از طریق حل مسئله
تمرین ها
اهرام
آموزش از طریق حل مسئله
تمرین ها
چند وجهی منتظم
آموزش از طریق حل مسئله
تمرین ها
جمع بندی
مسائل مروری (صفحه اول)
مسائل مروری (صفحه دوم)
مسائل چالشی (صفحه اول)
مسائل چالشی (صفحه دوم)
سطوح خمیده
استوانه
آموزش از طریق حل مسئله
تمرین ها
مخروط
آموزش از طریق حل مسئله
تمرین ها
کره
آموزش از طریق حل مسئله
تمرین ها
مسائل
آموزش از طریق حل مسئله
تمرین ها
جمع بندی
مسائل مروری
مسائل چالشی
چیزهای بیشتری تغییر می کنند...
مقدمه
انتقال
آموزش از طریق حل مسئله
تمرین ها
دوران
آموزش از طریق حل مسئله
تمرین ها
تقارن
آموزش از طریق حل مسئله
تمرین ها
تجانس
آموزش از طریق حل مسئله
تمرین ها
عوض کردن سوال
آموزش از طریق حل مسئله
تمرین ها
ترسیم: تبدیلات
آموزش از طریق حل مسئله
تمرین ها
جمع بندی
مسائل مروری (صفحه اول)
مسائل مروری (صفحه دوم)
مسائل چالشی
هندسه تحلیلی
مقدمه
خطوط
آموزش از طریق حل مسئله
تمرین ها
دوایر
آموزش از طریق حل مسئله
تمرین ها
مسائل مقدماتی هندسه تحلیلی
آموزش از طریق حل مسئله
تمرین ها
اثبات ها با هندسه تحلیلی
آموزش از طریق حل مسئله
تمرین ها
فاصله بین نقطه و خط
آموزش از طریق حل مسئله
تمرین ها
مسائل پیشرفته هندسه تحلیلی
آموزش از طریق حل مسئله
تمرین ها
جمع بندی
مسائل مروری (صفحه اول)
مسائل مروری (صفحه دوم)
مسائل چالشی
آشنایی با مثلثات
مقدمه
مثلثات و مثلث قائم الزاویه
آموزش از طریق حل مسئله
تمرین ها
نه تنها برای مثلث قائم الزاویه
آموزش از طریق حل مسئله
تمرین ها
قانون سینوس ها و قانون کسینوس ها
آموزش از طریق حل مسئله
تمرین ها
جمع بندی
مسائل مروری (صفحه اول)
مسائل مروری (صفحه دوم)
مسائل چالشی
استراتژی های حل مسئله در هندسه
مقدمه
خط اضافه
آموزش از طریق حل مسئله
تمرین ها
تخصیص متغیرها
آموزش از طریق حل مسئله
تمرین ها
اثبات ها
آموزش از طریق حل مسئله
تمرین ها
جمع بندی
مسائل چالشی (صفحه اول)
مسائل چالشی (صفحه دوم)
راهنمایی مسائل ستاره دار
هنر حل مسئله: آشنایی با نظریه اعداد
اعداد صحیح: مبانی
آشنایی
آموزش از طریق حل مسئله
ساختن اعداد صحیح از روی اعداد صحیح
آموزش از طریق حل مسئله
تمرین ها
مضارب صحیح
آموزش از طریق حل مسئله
تمرین ها
بخش پذیری اعداد صحیح
آموزش از طریق حل مسئله
تمرین ها
مقسوم علیه ها
آموزش از طریق حل مسئله
تمرین ها
کاربرد مقسوم علیه ها
آموزش از طریق حل مسئله
تمرین ها
نمادهای ریاضی
آموزش از طریق حل مسئله
تمرین ها
جمع بندی
مسائل مروری
مسائل چالشی
اعداد اول و مرکب
آشنایی
آموزش از طریق حل مسئله
اعداد اول و مرکب
آموزش از طریق حل مسئله
تمرین ها
تشخیص اعداد اول ۱
آموزش از طریق حل مسئله
تمرین ها
تشخیص اعداد اول ۲
آموزش از طریق حل مسئله
تمرین ها
جمع بندی
مسائل مروری
مسائل چالشی
مضارب و مقسوم علیه ها
آشنایی
آموزش از طریق حل مسئله
مقسوم علیه های مشترک
آموزش از طریق حل مسئله
تمرین ها
بزرگترین مقسوم علیه مشترک (ب.م.م)
آموزش از طریق حل مسئله
تمرین ها
مضارب مشترک
آموزش از طریق حل مسئله
تمرین ها
باقی مانده ها
آموزش از طریق حل مسئله
تمرین ها
مضارب، مقسوم علیه ها و محاسبات
آموزش از طریق حل مسئله
تمرین ها
الگوریتم اقلیدس
آموزش از طریق حل مسئله
تمرین ها
جمع بندی
تمرین ها
مسائل مروری
مسائل چالشی
تجزیه به عوامل اول
آشنایی
آموزش از طریق حل مسئله
درخت عوامل
آموزش از طریق حل مسئله
تمرین ها
تجزیه و مضارب
آموزش از طریق حل مسئله
تمرین ها
تجزیه و مقسوم علیه ها
آموزش از طریق حل مسئله
تمرین ها
اعداد کسری و ساده ترین صورت
آموزش از طریق حل مسئله
تمرین ها
تجزیه به عوامل اول و حل مسئله
آموزش از طریق حل مسئله
تمرین ها
روابط بین ب.م.م و ک.م.م
آموزش از طریق حل مسئله
تمرین ها
جمع بندی
مسائل مروری
مسائل چالشی (صفحه اول)
مسائل چالشی (صفحه دوم)
مسائل مقسوم علیه ها
آشنایی
آموزش از طریق حل مسئله
شمارش مقسوم علیه ها
آموزش از طریق حل مسئله
تمرین ها
مسائل شمارش مقسوم علیه ها
آموزش از طریق حل مسئله
تمرین ها
حاصل ضرب مقسوم علیه ها
آموزش از طریق حل مسئله
تمرین ها
جمع بندی
مسائل مروری
مسائل چالشی (صفحه اول)
مسائل چالشی (صفحه دوم)
اعداد خاص
آشنایی
آموزش از طریق حل مسئله
برخی اعداد اول خاص
آموزش از طریق حل مسئله
تمرین ها
فاکتوریل، توان و بخش پذیری
آموزش از طریق حل مسئله
تمرین ها
اعداد کامل، زائد و ناقص
آموزش از طریق حل مسئله
تمرین ها
پالیندروم ها
آموزش از طریق حل مسئله
تمرین ها
جمع بندی
مسائل مروری
مسائل چالشی (صفحه اول)
مسائل چالشی (صفحه دوم)
جبرِ اعداد صحیح
آشنایی
آموزش از طریق حل مسئله
مسائل
آموزش از طریق حل مسئله
جمع بندی
آموزش از طریق حل مسئله
مسائل چالشی (صفحه اول)
مسائل چالشی (صفحه دوم)
مبنا
آشنایی
آموزش از طریق حل مسئله
شمارش در بسته ها
آموزش از طریق حل مسئله
تمرین ها
اعداد در مبنا
آموزش از طریق حل مسئله
تمرین ها
ارقام در مبنا
آموزش از طریق حل مسئله
تمرین ها
تبدیل اعداد صحیح بین مبناها
آموزش از طریق حل مسئله
تمرین ها
مسائل غیرمعمول مبنا
آموزش از طریق حل مسئله
تمرین ها
جمع بندی
مسائل مروری
مسائل چالشی (صفحه اول)
مسائل چالشی (صفحه دوم)
محاسبات مبنا
آشنایی
آموزش از طریق حل مسئله
جمع در مبنا
آموزش از طریق حل مسئله
تمرین ها
تفاضل در مبنا
آموزش از طریق حل مسئله
تمرین ها
ضرب در مبنا
آموزش از طریق حل مسئله
تمرین ها
تقسیم و بخش پذیری در مبنا
آموزش از طریق حل مسئله
تمرین ها
جمع بندی
مسائل مروری
مسائل چالشی
ارقام یکان
آشنایی
آموزش از طریق حل مسئله
ارقام یکان در محاسبات
آموزش از طریق حل مسئله
تمرین ها
ارقام یکان در مبناها
آموزش از طریق حل مسئله
تمرین ها
ارقام یکان همه جا!
آموزش از طریق حل مسئله
تمرین ها
جمع بندی
مسائل مروری
مسائل چالشی (صفحه اول)
مسائل چالشی (صفحه دوم)
کسرها و اعداد اعشاری
آشنایی
آموزش از طریق حل مسئله
اعداد اعشاری متناهی
آموزش از طریق حل مسئله
تمرین ها
اعداد اعشاری متناوب
آموزش از طریق حل مسئله
تمرین ها
تبدیل اعداد اعشاری به کسر
آموزش از طریق حل مسئله
تمرین ها
مبنا و اعداد اعشاری معادل
تمرین ها
آموزش از طریق حل مسئله
جمع بندی
مسائل مروری
مسائل چالشی
آشنایی با محاسبات پیمانه ای
آشنایی
آموزش از طریق حل مسئله
همنهشتی
آموزش از طریق حل مسئله
تمرین ها
باقی مانده
آموزش از طریق حل مسئله
تمرین ها
جمع و تفریق
آموزش از طریق حل مسئله
تمرین ها
ضرب و توان رسانی
آموزش از طریق حل مسئله
تمرین ها
الگوها و شناسایی ها
آموزش از طریق حل مسئله
تمرین ها
جمع بندی
مسائل مروری
مسائل چالشی
قوانین بخش پذیری
آشنایی
آموزش از طریق حل مسئله
قوانین بخش پذیری
آموزش از طریق حل مسئله
تمرین ها
قوانین بخش پذیری با جبر
آموزش از طریق حل مسئله
تمرین ها
جمع بندی
مسائل مروری
مسائل چالشی
معادله همنهشتی خطی
آشنایی
آموزش از طریق حل مسئله
معکوس پیمانه ای و معادلات همنهشتی خطی ساده
آموزش از طریق حل مسئله
تمرین ها
حل معادلات همنهشتی خطی
آموزش از طریق حل مسئله
تمرین ها
دستگاه معادلات همنهشتی خطی
آموزش از طریق حل مسئله
تمرین ها
جمع بندی
مسائل مروری
مسائل چالشی
درک عددی
آشنایی
آموزش از طریق حل مسئله
عامل های آشنا و بخش پذیری
آموزش از طریق حل مسئله
روش های جبری محاسبات
آموزش از طریق حل مسئله
حالت های مفید اعداد
آموزش از طریق حل مسئله
سادگی
آموزش از طریق حل مسئله
جمع بندی
مسائل مروری (صفحه اول)
مسائل مروری (صفحه دوم)
مسائل مروری (صفحه سوم)
راهنمایی مسائل ستاره دار
هنر حل مسئله: آشنایی با شمارش و احتمال
شمارش محاسباتی است
آشنایی
آموزش از طریق حل مسئله
شمارش دنباله ای از اعداد
آموزش از طریق حل مسئله
تمرین ها
شمارش با جمع و تفریق
آموزش از طریق حل مسئله
تمرین ها
شمارش چندین پیشامد
آموزش از طریق حل مسئله
تمرین ها
جایگشت ها
آموزش از طریق حل مسئله
تمرین ها
جمع بندی
مسائل مروری
مسائل چالشی
ترفندهای پایه ای شمارش
آشنایی
آموزش از طریق حل مسئله
اصل جمع
آموزش از طریق حل مسئله
تمرین ها
شمردن مکمل
آموزش از طریق حل مسئله
تمرین ها
شمارش ساختاری
آموزش از طریق حل مسئله
تمرین ها
شمارش با محدود کردن
تمرین ها
آموزش از طریق حل مسئله
جمع بندی
مسائل مروری
مسائل چالشی
اصلاح شمارش تکراری
آشنایی
آموزش از طریق حل مسئله
جایگشت با تکرار
آموزش از طریق حل مسئله
تمرین ها
شمارش جفت ها
آموزش از طریق حل مسئله
تمرین ها
شمارش با تقارن
آموزش از طریق حل مسئله
تمرین ها
جمع بندی
مسائل مروری
مسائل چالشی
گروه ها و ترکیب ها
آشنایی
آموزش از طریق حل مسئله
تشکیل گروه
آموزش از طریق حل مسئله
تمرین ها
چگونه ترکیب ها را محاسبه کنیم
آموزش از طریق حل مسئله
تمرین ها
اولین اتحاد ترکیبیاتی ما
آموزش از طریق حل مسئله
تمرین ها
جمع بندی
مسائل مروری
مسائل چالشی
چیزهای بیشتری از جایگشت
آشنایی
آموزش از طریق حل مسئله
مسیرها در شبکه
آموزش از طریق حل مسئله
تمرین ها
مسائل بیشتر تشکیل گروه
آموزش از طریق حل مسئله
تمرین ها
تمایز
آموزش از طریق حل مسئله
تمرین ها
جمع بندی
مسائل مروری
مسائل چالشی
برخی مسائل سخت تر شمارش
آشنایی
آموزش از طریق حل مسئله
مسائل
آموزش از طریق حل مسئله
جمع بندی
مسائل چالشی
آشنایی با احتمال
آشنایی
آموزش از طریق حل مسئله
مبانی احتمال
آموزش از طریق حل مسئله
تمرین ها
برآمدهای هم شانس
آموزش از طریق حل مسئله
تمرین ها
تکنیک های شمارش در مسائل احتمال
آموزش از طریق حل مسئله
تمرین ها
جمع بندی
مسائل مروری
مسائل چالشی
ترفند های پایه ای احتمال
آشنایی
آموزش از طریق حل مسئله
احتمال و جمع
آموزش از طریق حل مسئله
تمرین ها
احتمال های مکمل
آموزش از طریق حل مسئله
تمرین ها
احتمال و ضرب
آموزش از طریق حل مسئله
تمرین ها
احتمال با پیشامدهای وابسته
آموزش از طریق حل مسئله
تمرین ها
ستاره دنباله دار - یک مسئله سخت
آموزش از طریق حل مسئله
جمع بندی
مسائل مروری
مسائل چالشی
راجع بهش فکر کن!
آشنایی
آموزش از طریق حل مسئله
مسائل
آموزش از طریق حل مسئله
جمع بندی
مسائل چالشی
احتمال های هندسی
آشنایی
آموزش از طریق حل مسئله
احتمال با استفاده از طول ها
آموزش از طریق حل مسئله
تمرین ها
احتمال با استفاده از مساحت ها
آموزش از طریق حل مسئله
تمرین ها
جمع بندی
مسائل مروری
مسائل چالشی
امید ریاضی
آشنایی
آموزش از طریق حل مسئله
تعریف امید ریاضی
آموزش از طریق حل مسئله
تمرین ها
مسائل امید ریاضی
آموزش از طریق حل مسئله
تمرین ها
یک بازی جالب
آموزش از طریق حل مسئله
تمرین ها
جمع بندی
مسائل مروری
مسائل چالشی
مثلث پاسکال
آشنایی
آموزش از طریق حل مسئله
تشکیل مثلث پاسکال
آموزش از طریق حل مسئله
آن اعداد آشنا به نظر میرسند!
آموزش از طریق حل مسئله
تمرین ها
یک اتحاد ترکیبیاتی جالب
آموزش از طریق حل مسئله
تمرین ها
یک اتحاد ترکیبیاتی جالب دیگر
آموزش از طریق حل مسئله
تمرین ها
جمع بندی
مسائل مروری
مسائل چالشی
اتحاد چوشی-چی
آشنایی
آموزش از طریق حل مسئله
صورت مسئله
آموزش از طریق حل مسئله
راه قدم به قدم
آموزش از طریق حل مسئله
تمرین ها
راه زیرکانه
آموزش از طریق حل مسئله
تمرین ها
اتحاد
آموزش از طریق حل مسئله
تمرین ها
جمع بندی
مسائل مروری
مسائل چالشی
بسط دوجمله ای
آشنایی
آموزش از طریق حل مسئله
کمی جبر
آموزش از طریق حل مسئله
قضیه
آموزش از طریق حل مسئله
کاربردهای بسط دوجمله ای
آموزش از طریق حل مسئله
تمرین ها
استفاده از بسط دوجمله ای در اتحاد ها
آموزش از طریق حل مسئله
تمرین ها
جمع بندی
مسائل مروری
مسائل چالشی
مسائل چالشی تر
آشنایی
آموزش از طریق حل مسئله
مسائل
آموزش از طریق حل مسئله
مسائل چالشی (صفحه اول)
مسائل چالشی (صفحه دوم)
راهنمایی مسائل ستاره دار
هنر حل مسئله: شمارش و احتمال متوسطه
مروری بر مقدمات شمارش و احتمال
آشنایی
آموزش از طریق حل مسئله
ترفند های شمارشی پایه
آموزش از طریق حل مسئله
ترفندهای احتمالاتی پایه
آموزش از طریق حل مسئله
امید ریاضی
آموزش از طریق حل مسئله
مثلث پاسکال و بسط دوجمله ای
آموزش از طریق حل مسئله
یادداشت جمع بندی
آموزش از طریق حل مسئله
جمع بندی
مجموعه ها و منطق
آشنایی
آموزش از طریق حل مسئله
مجموعه ها
آموزش از طریق حل مسئله
تمرین ها
عملیات روی مجموعه ها
آموزش از طریق حل مسئله
تمرین ها
درستی و منطق
آموزش از طریق حل مسئله
تمرین ها
سور ها
آموزش از طریق حل مسئله
تمرین ها
جمع بندی
مسائل مروری
مسائل چالشی
اصل شمول و عدم شمول
آشنایی
آموزش از طریق حل مسئله
شمول و عدم شمول در دو مجموعه
آموزش از طریق حل مسئله
تمرین ها
شمول و عدم شمول در سه مجموعه
آموزش از طریق حل مسئله
تمرین ها
مسائل شمارش با اصل شمول و عدم شمول
آموزش از طریق حل مسئله
تمرین ها
تعمیم اصل شمول و عدم شمول
آموزش از طریق حل مسئله
تمرین ها
شمردن عناصر با بیشتر از یکی از چیزی
آموزش از طریق حل مسئله
تمرین ها
برخی مسائل سخت تر شمول و عدم شمول
آموزش از طریق حل مسئله
تمرین ها
جمع بندی
مسائل مروری
مسائل چالشی
شمارش ساختار یافته و تناظر یک به یک
آشنایی
آموزش از طریق حل مسئله
برخی مسائل پایه
آموزش از طریق حل مسئله
تمرین ها
مسائل سخت تر شمارش ساختار یافته
آموزش از طریق حل مسئله
تمرین ها
پایه های تناظر یک به یک
آموزش از طریق حل مسئله
تمرین ها
تناظر های یک به یک پیچیده تر
آموزش از طریق حل مسئله
تمرین ها
تناظر یک به یک هوشمندانه
آموزش از طریق حل مسئله
تمرین ها
جمع بندی
مسائل مروری
مسائل چالشی
اصل لانه کبوتری
آشنایی
آموزش از طریق حل مسئله
این مفهوم رایجی است!
آموزش از طریق حل مسئله
تمرین ها
مسائل پایه ای لانه کبوتری
آموزش از طریق حل مسئله
تمرین ها
مسائل پیشرفته تر لانه کبوتری
آموزش از طریق حل مسئله
تمرین ها
جمع بندی
مسائل مروری
مسائل چالشی
امید ریاضی ساختار یافته
آشنایی
آموزش از طریق حل مسئله
مثال های پایه ای
آموزش از طریق حل مسئله
تمرین ها
جمع کردن امید ریاضی ها به صورت ساختاری
آموزش از طریق حل مسئله
تمرین ها
یک کت و چندین وصله (تکرار)
آموزش از طریق حل مسئله
جمع بندی
مسائل مروری
مسائل چالشی
توزیع ها
آشنایی
آموزش از طریق حل مسئله
توزیع های پایه
آموزش از طریق حل مسئله
تمرین ها
توزیع با شروط اضافه
آموزش از طریق حل مسئله
تمرین ها
مسائل پیچیده تر توزیع
آموزش از طریق حل مسئله
تمرین ها
جمع بندی
مسائل مروری
مسائل چالشی
استقرای ریاضی
آموزش از طریق حل مسئله
مسائل مروری
مسائل چالشی
اعداد فیبوناچی
آشنایی
آموزش از طریق حل مسئله
یک مسئله انگیزشی
آموزش از طریق حل مسئله
تعدادی مسئله فیبوناچی
آموزش از طریق حل مسئله
تمرین ها
فرمولی برای اعداد فیبوناچی
آموزش از طریق حل مسئله
تمرین ها
جمع بندی
مسائل مروری
مسائل چالشی
بازگشت
آشنایی
آموزش از طریق حل مسئله
مثال هایی از بازگشت
آموزش از طریق حل مسئله
تمرین ها
دنباله های بازگشتی خطی
آموزش از طریق حل مسئله
تمرین ها
یک مسئله بازگشتی دشوار
آموزش از طریق حل مسئله
تمرین ها
مسائلی با دخالت اعداد کاتالان
آموزش از طریق حل مسئله
تمرین ها
فرمول اعداد کاتالان
آموزش از طریق حل مسئله
تمرین ها
جمع بندی
مسائل مروری
مسائل چالشی
احتمال شرطی
آشنایی
آموزش از طریق حل مسئله
مثال های پایه ای از احتمال شرطی
آموزش از طریق حل مسئله
تمرین ها
برخی تعاریف و نکات
آموزش از طریق حل مسئله
تمرین ها
مثال های دشوارتر
آموزش از طریق حل مسئله
تمرین ها
بیایید یک معامله کنیم
آموزش از طریق حل مسئله
تمرین ها
جمع بندی
مسائل مروری
مسائل چالشی
اتحادهای ترکیبیاتی
آشنایی
آموزش از طریق حل مسئله
اتحاد های پایه
آموزش از طریق حل مسئله
تمرین ها
اتحادهای بیشتر
آموزش از طریق حل مسئله
تمرین ها
جمع بندی
مسائل مروری
مسائل چالشی
رویدادها با وضعیت ها
آشنایی
آموزش از طریق حل مسئله
نمودار وضعیت و گشت تصادفی
آموزش از طریق حل مسئله
تمرین ها
رویداد هایی با بی نهایت وضعیت
آموزش از طریق حل مسئله
تمرین ها
بازی های استراتژیک دو نفره
آموزش از طریق حل مسئله
تمرین ها
جمع بندی
مسائل مروری
مسائل چالشی
توابع مولد
آشنایی
آموزش از طریق حل مسئله
مثال های پایه از توابع مولد
آموزش از طریق حل مسئله
تمرین ها
بسط دوجمله ای (به عنوان تابع مولد)
آموزش از طریق حل مسئله
تمرین ها
توزیع ها (به عنوان توابع مولد)
آموزش از طریق حل مسئله
تمرین ها
تابع مولد افراز
آموزش از طریق حل مسئله
تمرین ها
تابع مولد اعداد فیبوناچی
آموزش از طریق حل مسئله
جمع بندی
مسائل مروری
مسائل چالشی
نظریه گراف
آشنایی
آموزش از طریق حل مسئله
تعاریف
آموزش از طریق حل مسئله
ویژگی های پایه ی گراف
آموزش از طریق حل مسئله
تمرین ها
مسیر و دور
آموزش از طریق حل مسئله
تمرین ها
گراف های مسطح
آموزش از طریق حل مسئله
تمرین ها
مسیر های اویلری و همیلتونی
آموزش از طریق حل مسئله
تمرین ها
جمع بندی
مسائل مروری
مسائل چالشی
مسائل چالشی
مقدمه
مسائل (صفحه اول)
مسائل (صفحه دوم)
راهنمایی مسائل ستاره دار
هنر حل مسئله: پیش حسابان
مروری بر توابع
مقدمات توابع
آموزش از طریق حل مسئله
تمرین ها
ترسیم توابع
آموزش از طریق حل مسئله
تمرین ها
ترکیب
آموزش از طریق حل مسئله
تمرین ها
وارون توابع
آموزش از طریق حل مسئله
تمرین ها
جمع بندی
مسائل مروری (صفحه اول)
مسائل مروری (صفحه دوم)
مسائل چالشی
آشنایی با توابع مثلثاتی
مقدمه
دایره واحد
آموزش از طریق حل مسئله
تمرین ها
رادیان
آموزش از طریق حل مسئله
تمرین ها
نمودار توابع مثلثاتی
آموزش از طریق حل مسئله
تمرین ها
تبدیلات توابع مثلثاتی
آموزش از طریق حل مسئله
تمرین ها
وارون توابع مثلثاتی
آموزش از طریق حل مسئله
تمرین ها
جمع بندی
مسائل مروری (صفحه اول)
مسائل مروری (صفحه دوم)
مسائل چالشی
اتحادهای مثلثاتی
مقدمه
مقدمه ای بر اتحادهای مثلثاتی
آموزش از طریق حل مسئله
تمرین ها
جمع و تفاضل زوایا
آموزش از طریق حل مسئله
تمرین ها
دو برابر و نصف زوایا
آموزش از طریق حل مسئله
تمرین ها
"جمع به ضرب" و "ضرب به جمع"
آموزش از طریق حل مسئله
تمرین ها
حل مسئله با اتحادها
آموزش از طریق حل مسئله
تمرین ها
جمع بندی
مسائل مروری (صفحه اول)
مسائل مروری (صفحه دوم)
مسائل چالشی (صفحه اول)
مسائل چالشی (صفحه دوم)
کاربرد در هندسه
مقدمه
روابط مثلثاتی مثلث قائم الزاویه
آموزش از طریق حل مسئله
تمرین ها
قضیه کسینوس ها
آموزش از طریق حل مسئله
تمرین ها
قضیه سینوس ها
آموزش از طریق حل مسئله
تمرین ها
روابط مثلثاتی بیشتر
آموزش از طریق حل مسئله
تمرین ها
جمع بندی
مسائل مروری (صفحه اول)
مسائل مروری (صفحه دوم)
مسائل چالشی (صفحه اول)
مسائل چالشی (صفحه دوم)
پارامتری سازی و دستگاه های مختصات مثلثاتی
پارامتری سازی
آموزش از طریق حل مسئله
تمرین ها
مختصات قطبی
آموزش از طریق حل مسئله
تمرین ها
مختصات در سه بعد
آموزش از طریق حل مسئله
تمرین ها
جمع بندی
مسائل مروری (صفحه اول)
مسائل مروری (صفحه دوم)
مسائل چالشی
مقدمات اعداد مختلط
مقدمه
حساب اعداد مختلط
آموزش از طریق حل مسئله
تمرین ها
صفحه مختلط
آموزش از طریق حل مسئله
تمرین ها
بخش های حقیقی و موهومی
آموزش از طریق حل مسئله
تمرین ها
ریشه های غیر حقیقی چند جمله ای ها
آموزش از طریق حل مسئله
تمرین ها
جمع بندی
مسائل مروری (صفحه اول)
مسائل مروری (صفحه دوم)
مسائل چالشی
مثلثات و اعداد مختلط
نمایش قطبی اعداد مختلط
آموزش از طریق حل مسئله
تمرین ها
نمایش نمایی اعداد مختلط
آموزش از طریق حل مسئله
تمرین ها
ریشه های واحد
آموزش از طریق حل مسئله
تمرین ها
مسائل درگیر با ریشه های واحد
آموزش از طریق حل مسئله
تمرین ها
جمع بندی
تمرین ها
مسائل مروری (صفحه اول)
مسائل مروری (صفحه دوم)
مسائل چالشی (صفحه اول)
مسائل چالشی (صفحه دوم)
هندسه اعداد مختلط
مقدمه
تبدیلات در صفحه مختلط
آموزش از طریق حل مسئله
تمرین ها
خطوط موازی و عمود
آموزش از طریق حل مسئله
تمرین ها
فاصله
آموزش از طریق حل مسئله
تمرین ها
چند ضلعی های منتظم
آموزش از طریق حل مسئله
تمرین ها
قضایای کلاسیک
آموزش از طریق حل مسئله
جمع بندی
مسائل مروری (صفحه اول)
مسائل مروری (صفحه دوم)
مسائل چالشی (صفحه اول)
مسائل چالشی (صفحه دوم)
بردارها در دو بعد
بردار چیست؟
آموزش از طریق حل مسئله
تمرین ها
ضرب داخلی
آموزش از طریق حل مسئله
تمرین ها
خطوط و استقلال خطی
آموزش از طریق حل مسئله
تمرین ها
تصویر
آموزش از طریق حل مسئله
تمرین ها
جمع بندی
مسائل مروری (صفحه اول)
مسائل مروری (صفحه دوم)
مسائل چالشی
ماتریس ها در دو بعد
ماتریس چیست؟
آموزش از طریق حل مسئله
تمرین ها
ضرب ماتریس ها
آموزش از طریق حل مسئله
تمرین ها
ماتریس به عنوان تبدیل
آموزش از طریق حل مسئله
تمرین ها
دترمینان
آموزش از طریق حل مسئله
تمرین ها
تعبیر هندسی دترمینان
آموزش از طریق حل مسئله
تمرین ها
وارون ماتریس
آموزش از طریق حل مسئله
تمرین ها
جمع بندی
مسائل مروری (صفحه اول)
مسائل مروری (صفحه دوم)
مسائل چالشی (صفحه اول)
مسائل چالشی (صفحه دوم)
بردارها و ماتریس ها در سه بعد (بخش 1)
بردارها در سه بعد
آموزش از طریق حل مسئله
تمرین ها
ماتریس های "3 در 3"
آموزش از طریق حل مسئله
تمرین ها
دترمینان ماتریس های "3 در 3"
آموزش از طریق حل مسئله
تمرین ها
بیشتر از "2 در 2" و "3 در 3"
آموزش از طریق حل مسئله
تمرین ها
جمع بندی
مسائل مروری (صفحه اول)
مسائل مروری (صفحه دوم)
مسائل چالشی
بردارها و ماتریس ها در سه بعد (بخش 2)
خط و صفحه در سه بعد
آموزش از طریق حل مسئله
تمرین ها
صفحات بیشتر در سه بعد
آموزش از طریق حل مسئله
تمرین ها
ضرب خارجی
آموزش از طریق حل مسئله
تمرین ها
تعبیر هندسی دترمینان
آموزش از طریق حل مسئله
تمرین ها
وارون ماتریس "3 در 3"
آموزش از طریق حل مسئله
تمرین ها
جمع بندی
مسائل مروری (صفحه اول)
مسائل مروری (صفحه دوم)
مسائل چالشی
هندسه برداری
آشنایی
آموزش از طریق حل مسئله
تمرین ها
بردارها در مثلث
آموزش از طریق حل مسئله
تمرین ها
بردارها، اعداد مختلط و مسائل چالشی
آموزش از طریق حل مسئله
جمع بندی
مسئل چالشی (صفحه اول)
مسائل چالشی (صفحه دوم)
راهنمایی مسائل ستاره دار
هنر حل مسئله: حساب دیفرانسیل و انتگرال
مجموعه ها و توابع
مقدمه
مجموعه ها
طرح درس
تمرین ها
اعداد و بازه ها
طرح درس
تمرین ها
توابع
طرح درس
تمرین ها
نمودار توابع
طرح درس
تمرین ها
توابع مثلثاتی
طرح درس
تمرین ها
معادلات مثلثاتی مقدماتی
طرح درس
تمرین ها
توابع نمایی و لگاریتمی
طرح درس
تمرین ها
مسائل مروری
مسائل چالشی
ضمیمه: رابطه بین توابع مثلثاتی و نمایی
حد و پیوستگی
حد
طرح درس
تمرین ها
پیوستگی
طرح درس
تمرین ها
مسائل مروری
مسائل چالشی
ضمیمه: اثبات برخی نتایج پیوستگی
مشتق
مقدمه
معرفی شهودی
طرح درس
تعریف مشتق
طرح درس
تمرین ها
محاسبات مقدماتی مشتق
طرح درس
تمرین ها
قاعده زنجیری
طرح درس
تمرین ها
قضیه رل و مقدار میانگین
طرح درس
تمرین ها
مشتق گیری ضمنی
طرح درس
تمرین ها
جمع بندی محاسبه مشتق
طرح درس
مسائل مروری
مسائل چالشی
ضمیمه 1: اثبات قاعده زنجیری
ضمیمه 2: اثبات قضیه مقدار میانگین
کاربرد مشتق
مقدمه
تفسیر نموداری مشتق
طرح درس
تمرین ها
نقاط اکسترمم و بهینه سازی
طرح درس
تمرین ها
سرعت
طرح درس
تمرین ها
تقریب خط مماس
طرح درس
تمرین ها
روش نیوتون
طرح درس
تمرین ها
نرخ های وابسته
طرح درس
تمرین ها
مسائل مروری
مسائل چالشی
انتگرال
مقدمه
مساحت زیر نمودار
طرح درس
تمرین ها
قضیه اساسی حساب دیفرانسیل و انتگرال
طرح درس
تمرین ها
انتگرال نامعین
طرح درس
تمرین ها
کاربردهای انتگرال معین
طرح درس
تمرین ها
روش های تقریب
طرح درس
تمرین ها
مسائل مروری
مسائل چالشی
ضمیمه 1: تعریف فرمال log و exp
ضمیمه 2: قاعده سیمسون
بی نهایت
مقدمه
میل دادن به سمت بی نهایت
طرح درس
تمرین ها
میل کردن به سمت بی نهایت
طرح درس
تمرین ها
فرم های نامعین گویا و قانون هوپیتال
طرح درس
تمرین ها
فرم های نامعین نمایی
طرح درس
تمرین ها
انتگرال های نامعین
طرح درس
تمرین ها
مسائل مروری
مسائل چالشی
ضمیمه: اثبات قانون هوپیتال
سری ها
دنباله های نامتناهی
طرح درس
تمرین ها
سری های نامتناهی
طرح درس
تمرین ها
آزمون های همگرایی سری ها
طرح درس
تمرین ها
سری های متناوب
طرح درس
تمرین ها
چندجمله ای های تیلور
طرح درس
تمرین ها
سری تیلور
طرح درس
تمرین ها
مسائل مروری
مسائل چالشی
ضمیمه: یک فرمول عجیب برای پی
منحنی های مسطح
خم های پارامتری
طرح درس
تمرین ها
بیشتر بدانید
مختصات قطبی
طرح درس
تمرین ها
مساحت در مختصات قطبی
طرح درس
تمرین ها
مسائل مروری
مسائل چالشی
معادلات دیفرانسیل
تعاریف و مثال های ابتدایی
طرح درس
تمرین ها
معادلات دیفرانسیل خطی مرتبه دوم
طرح درس
تمرین ها
مسائل مروری
مسائل چالشی
ضمیمه: روش اویلر
ریاضی 1
عدد
مقدمه
عدد چیست؟
طرح درس
تمرین ها
اعداد حقیقی
طرح درس
تمرین ها
عملیات جبری و ترسیم های هندسی
طرح درس
تمرین ها
جمع بندی
اعداد مختلط (1)
طرح درس
تمرین ها
اعداد مختلط (2)
طرح درس
تمرین ها
اعداد مختلط و تبدیلات هندسی
طرح درس
تمرین ها
دنباله های عددی
طرح درس
تمرین ها
تابع، محاسبه و تقریب
مقدمه
پایداری محاسبه
طرح درس
تمرین ها
تابع های پیوسته؛ مثال های ابتدایی
طرح درس
تمرین ها
خواص تابع های پیوسته (1)
طرح درس
تمرین ها
خواص تابع های پیوسته (2)
طرح درس
تمرین ها
مفهوم حد
طرح درس
تمرین ها
مشتق
مقدمه
مفهوم مشتق
طرح درس
تمرین ها
نتایج اولیه مشتق پذیری
طرح درس
تمرین ها
قاعده زنجیری، نمادگذاری لایب نیتس
طرح درس
تمرین ها (صفحه اول)
تمرین ها (صفحه دوم)
تقریب خطی
طرح درس
تمرین ها
نمودار تابع و کاربرد های آن
طرح درس
تمرین ها
بهینه سازی
طرح درس
تمرین ها
چندجمله ای تیلور و تقریب های مرتبه بالا
طرح درس
تمرین ها
انتگرال
مقدمه
مفهوم انتگرال
طرح درس
تمرین ها
قضیه بنیادی حساب دیفرانسیل و انتگرال
طرح درس
تمرین ها (صفحه اول)
تمرین ها (صفحه دوم)
برخی کاربردهای انتگرال
طرح درس
تمرین ها
دو قضیه مهم انتگرال
طرح درس
تمرین ها (صفحه اول)
تمرین ها (صفحه دوم)
انتگرال توابع گویا
طرح درس
تمرین ها
تابع نمایی
طرح درس
تمرین ها (صفحه اول)
تمرین ها (صفحه دوم)
محاسبه تقریبی انتگرال
طرح درس
تمرین ها
انتگرال های ناسره
طرح درس
تمرین ها (صفحه اول)
تمرین ها (صفحه دوم)
معادلات دیفرانسیل
مقدمه
مدل های رشد و زوال
طرح درس
تمرین ها
میدان شیب، قضیه بنیادی و دستگاه های تعینی
طرح درس
تمرین ها
تابع های متعالی و معادلات دیفرانسیل
طرح درس
تمرین ها
سری های عددی و تابعی
مقدمه
سری های عددی (1)
طرح درس
تمرین ها
سری های عددی (2)
طرح درس
تمرین ها
سری های توانی و توابع تحلیلی (1)
طرح درس
تمرین ها
سری های توانی و توابع تحلیلی (2)
طرح درس
تمرین ها
سری فوریه
طرح درس
تمرین ها
ریاضی 2
فضا
مقدمه
فضای حقیقی n بعدی
طرح درس
تمرین ها
زیرفضاهای مستوی R به توان n
طرح درس
تمرین ها
ضرب داخلی و هندسه اقلیدسی در R به توان n
طرح درس
تمرین ها (صفحه اول)
تمرین ها (صفحه دوم)
نگاشت خطی (1)
طرح درس
تمرین ها
نگاشت خطی (2)
طرح درس
تمرین ها (صفحه اول)
تمرین ها (صفحه دوم)
مساحت، حجم و ضرب خارجی در R به توان 3
طرح درس
تمرین ها (صفحه اول)
تمرین ها (صفحه دوم)
حجم و دترمینان در R به توان n
طرح درس
تمرین ها
ویژه مقدار و ویژه راستا
طرح درس
تمرین ها (صفحه اول)
تمرین ها (صفحه دوم)
نگاشت های خطی خاص
طرح درس
تمرین ها
هندسه خم های هموار
مقدمه
خم های هموار در R به توان n: کلیات
طرح درس
تمرین ها
انحنای خم
طرح درس
تمرین ها
خم های فضایی
طرح درس
تمرین ها
توابع چند متغیره
مقدمه
نمایش توابع چند متغیره
طرح درس
تمرین ها
ابررویه های درجه دوم
طرح درس
تمرین ها
پیوستگی و حد
طرح درس
تمرین ها
مشتق توابع چند متغیره و کاربرد های آن
مقدمه
مفاهیم مشتق
طرح درس
تمرین ها (صفحه اول)
تمرین ها (صفحه دوم)
نگاشت های مشتق پذیر
طرح درس (صفحه اول)
طرح درس (صفحه دوم)
تمرین ها (صفحه اول)
تمرین ها (صفحه دوم)
مشتق های پاره ای مرتبه بالا
طرح درس
تمرین ها (صفحه اول)
تمرین ها (صفحه دوم)
توابع ضمنی و معکوس
طرح درس
تمرین ها (صفحه اول)
تمرین ها (صفحه دوم)
بهینه سازی و مباحث مربوط به آن
طرح درس
تمرین ها
انتگرال چندمتغیره
مقدمه
مفهوم انتگرال چندمتغیره
طرح درس
تمرین ها
محاسبه انتگرال چندمتغیره
طرح درس
تمرین ها
تعویض متغیر و انتگرال ناسره
طرح درس
تمرین ها (صفحه اول)
تمرین ها (صفحه دوم)
تمرین ها (صفحه سوم)
آنالیز برداری
مقدمه
میدان برداری
طرح درس
تمرین ها (صفحه اول)
تمرین ها (صفحه دوم)
انتگرال روی خم
طرح درس
تمرین ها
قضایای انتگرال در صفحه
طرح درس
تمرین ها
انتگرال روی رویه
طرح درس
تمرین ها
قضایای انتگرال در فضا
طرح درس
تمرین ها (صفحه اول)
تمرین ها (صفحه دوم)
هنر حل مساله
پژوهش در ریاضیات
صفحه اصلی
تماس با ما
درباره ما
جستجو
ثبتنام
ورود
دوشنبه 1404/09/24
مسیر:
هنر حل مسئله: جبر متوسطه
>
دنباله ها و سری ها
>
دنباله، نماد جمع زنی و ضرب
>
آموزش از طریق حل مسئله
پژوهش در ریاضیات
+
هنر حل مسئله: مقدمات
+
توابع نمایی و لگاریتم
توان های صحیح
توانهای کسری
ساده کردن عبارتهای رادیکالی
گویا کردن مخارج
لگاریتم ها
سوالات توابع نمایی و لگاریتم
پاسخ تمرین ها
مسائل و مسابقات
+
اعداد مختلط
ریشه مربعی 1-
اعمال حسابی اعداد مختلط
پاسخ تمرین ها
مسائل
+
معادلات خطی
معادله خطی چیست؟
یک معادله و یک مجهول
دو معادله و دو مجهول
مسائل کلامی
پاسخ تمرین ها
مسائل
+
نسبتها و تناسب
نسبت مستقیم و معکوس
محاسبه با نسبتها
ضریب تبدیل
درصد
پاسخ تمرین ها
مسائل
+
استفاده از اعداد صحیح
بخش پذیری
پایه
رقم یکان
حساب مانده ها
حقه ها
اعداد اول
مقسم های مشترک و غیر مشترک
پاسخ تمرین ها
مسائل
+
معادلات درجه دوم
معادله ی مربعی چیست؟
تجزیه معادلات مربعی
فرمول جواب های معادلات مربعی
+
تغییراتی در یک تم
جایگشت ها
جایگذاری ها
ریشه مربعی اعداد گنگ و موهومی
فراتر از معادلات مربعی
پاسخ تمرین ها
مسائل
+
تجزیه اعداد و محاسبات
تجزیه
محاسبات
پاسخ تمرین ها
مسائل
+
اعداد چه هستند
اعداد صحیح و گویا
کسرهای ساده شده و اعداد گنگ
اعداد مختلط و فراتر از آن
پاسخ تمرین ها
مسائل
+
مقدمه ای بر دوایر
پاسخ تمرین ها
+
زوایا
خط ، اشعه و پاره خط
رده بندی و اندازه گیری
زوایا و خطوط موازی
خم، پاره خط، برش و زاویه
زوایای بدست آمده از تقاطع خط و دایره
وظیفه سنگین اثبات
پاسخ تمرین ها
+
مثلث ها
رده بندی مثلث ها
اجزاء مثلث
نامساوی مثلث
قضیه فیثاغرس
مثلث های همنهشت
مثلث های متشابه
مقدمه ای بر مثلثات
مساحت مثلث
چند راهنمایی مفید
پاسخ تمرین ها
مسائل
+
چهارضلعی ها
مبانی
ذوزنقه
متوازی الاضلاع
لوزی
مستطیل و مربع
راهنمایی ها و مسائل
پاسخ تمرین ها
مسائل
+
چندضلعی ها
انواع چندضلعی ها
زوایا در چندضلعی ها
چندضلعی های منتظم
شش ضلعی های منتظم
پاسخ تمرین ها
مسائل
+
دنبال کردن زوایا
مسائل
+
مساحت ها
اشکال متشابه
قائده مشترک و ارتفاع مشترک
اشکال پیچیده
پاسخ تمرین ها
مسائل
+
قدرت مختصات دکارتی
برچسب گذاری صفحه
فایده مختصات چیست؟
مستقیم و باریک
نمودار خط
فرمول فاصله و معادله دایره
چهارراه ها
به زانو در آمدن
پاسخ تمرین ها
مسائل
+
قوت نقطه
مقدمه
اثبات قوت نقطه
پاسخ تمرین ها
مسائل
+
هندسه سه بعدی
صفحات، مساحت و حجم
کرات
مکعب ها و جعبه ها
منشور ها و استوانه ها
هرم ها و مخروط ها
چندوجهی ها
چگونه مسائل سه بعدی را حل کنیم
پاسخ تمرین ها
مسائل
+
تبدیلات
انتقال
دوران
تصویر آیینه ای
اعوجاج
لغزش
تغییرات بیشتر
اثبات تبدیلات
پاسخ تمرین ها
مسائل
+
نمونه مسائل هندسه
مسائل (1)
مسائل (2)
+
توابع
به ماشین خوش آمدید
رسم نمودار توابع
ورودی و خروجی
زوج و فرد
+
بعضی توابع خاص
قدر مطلق
جزء صحیح
چند ضابطه ای
تبدیل کردن یک تابع
پاسخ تمرین ها
مسائل
+
نامساوی ها
به چه کار آیند؟
نامساوی های خطی
نامساوی های مربعی
نامساوی های قدرمطلقی
یک نامساوی بدیهی
پاسخ تمرین ها
مسائل
+
عمل ها و رابطه ها
یک عمل چیست؟
خواص عمل ها
رابطه ها
پاسخ تمرین ها
مسائل
+
دنباله ها و سری ها
دنباله های حسابی
دنباله های هندسی
دنباله های بی نهایت
نماد جمع سری ها
دنباله ها
دنباله ها و میانگین
پاسخ تمرین ها
مسائل
+
یاد بگیریم بشماریم
چیزی برای یاد گرفتن هست؟
ضرب کردن
مثال: تعداد مقسم ها
محدودیت ها روی ضرب
جایگشت ها، ترتیب ها و فاکتوریل
با هم مخلوط کنیم
شمارش موضوع اشتباهی، قسمت 1
شمارش موضوع اشتباهی، قسمت 2
شمارش را جور دیگری انجام دهیم
قضیه بسط دو جمله ای
پاسخ تمرین ها
مسائل
+
آمار و احتمال
آمار
احتمال و درک روزمره
ضرب احتمالات
حالت بندی
احتمال عدم وقوع
چه انتظار داشتید؟
پاسخ تمرین ها
مسائل
+
مجموعه ها
چند تعریف
اعمال روی مجموعه ها
نمودار ون
زیر مجموعه ها
پاسخ تمرین ها
مسائل
+
اثبات کنید
کلام، کلام، کلام
تناقض
برعکس گزاره ها لزوما درست نیستند
استقراء ریاضی
اصل لانه کبوتری
قانع کننده اما غلط
پاسخ تمرین ها
مسائل
+
تیر خداحافظی
مسائل (1)
مسائل (2)
-
هنر حل مسئله: جبر متوسطه
+
تکنیک های مقدماتی حل معادلات
مقدمه
+
جداسازی
آموزش از طریق حل مسئله
تمرین ها
+
جای گذاری
آموزش از طریق حل مسئله
تمرین ها
+
حذف
آموزش از طریق حل مسئله
تمرین ها
+
دستگاه های بزرگتر معادلات خطی
آموزش از طریق حل مسئله
تمرین ها
جمع بندی
مسائل مروری
مسائل چالشی
+
مروری بر توابع
+
مقدمات تابع
آموزش از طریق حل مسئله
تمرین ها
+
ترسیم توابع
آموزش از طریق حل مسئله
تمرین ها
+
ترکیب
آموزش از طریق حل مسئله
تمرین ها
+
وارون توابع
آموزش از طریق حل مسئله
تمرین ها
جمع بندی
مسائل مروری (صفحه اول)
مسائل مروری (صفحه دوم)
مسائل چالشی
+
اعداد مختلط
مقدمه
+
حساب اعداد مختلط
آموزش از طریق حل مسئله
تمرین ها
+
صفحه مختلط
آموزش از طریق حل مسئله
تمرین ها
+
بخش های حقیقی و موهومی
آموزش از طریق حل مسئله
تمرین ها
+
ترسیم در صفحه مختلط
آموزش از طریق حل مسئله
تمرین ها
جمع بندی
مسائل مروری
مسائل چالشی
بیشتر بدانید!
+
معادلات درجه دوم
مقدمه
+
تجزیه عبارات درجه دوم
آموزش از طریق حل مسئله
تمرین ها
+
ارتباط برقرار کردن بین ریشه ها و ضرایب
آموزش از طریق حل مسئله
تمرین ها
+
مربع سازی
آموزش از طریق حل مسئله
تمرین ها
+
مبین
آموزش از طریق حل مسئله
تمرین ها
+
نابرابری های درجه دوم
آموزش از طریق حل مسئله
تمرین ها
جمع بندی
مسائل مروری (صفحه اول)
مسائل مروری (صفحه دوم)
مسائل چالشی (صفحه اول)
مسائل چالشی (صفحه دوم)
+
مقاطع مخروطی
مقدمه
+
سهمی ها
آموزش از طریق حل مسئله
تمرین ها
+
حل مسئله با سهمی ها
آموزش از طریق حل مسئله
تمرین ها
+
ماکسیمم و مینیمم عبارات درجه دوم
آموزش از طریق حل مسئله
تمرین ها
+
دوایر
آموزش از طریق حل مسئله
تمرین ها
+
بیضی ها
آموزش از طریق حل مسئله
تمرین ها
+
هذلولی ها
آموزش از طریق حل مسئله
تمرین ها
جمع بندی
مسائل مروری (صفحه اول)
مسائل مروری (صفحه دوم)
مسائل چالشی (صفحه اول)
مسائل چالشی (صفحه دوم)
+
تقسیم چندجمله ای ها
مقدمه
+
مروری بر چندجمله ای
آموزش از طریق حل مسئله
تمرین ها
+
آشنایی با تقسیم چندجمله ای ها
آموزش از طریق حل مسئله
تمرین ها
+
تقسیم مرکب
آموزش از طریق حل مسئله
تمرین ها
+
قضیه باقیمانده
آموزش از طریق حل مسئله
تمرین ها
جمع بندی
مسائل مروری
مسائل چالشی
+
ریشه های چندجمله ای ها (بخش اول)
مقدمه
+
قضیه عامل
آموزش از طریق حل مسئله
تمرین ها
+
ریشه های صحیح
آموزش از طریق حل مسئله
تمرین ها
+
ریشه های گویا
آموزش از طریق حل مسئله
تمرین ها
+
کران ها
آموزش از طریق حل مسئله
تمرین ها
+
ترسیم و قضیه اساسی جبر
آموزش از طریق حل مسئله
تمرین ها
+
کاربردهای جبری قضیه اساسی
آموزش از طریق حل مسئله
تمرین ها
جمع بندی
مسائل مروری (صفحه اول)
مسائل مروری (صفحه دوم)
مسائل چالشی
بیشتر بدانید!
+
ریشه های چندجمله ای ها (بخش دوم)
مقدمه
+
ریشه های گنگ
آموزش از طریق حل مسئله
تمرین ها
+
ریشه های غیرحقیقی
آموزش از طریق حل مسئله
تمرین ها
+
فرمول ویت
آموزش از طریق حل مسئله
تمرین ها
+
به کار بردن ریشه ها برای ساختن معادلات
آموزش از طریق حل مسئله
تمرین ها
جمع بندی
مسائل مروری (صفحه اول)
مسائل مروری (صفحه دوم)
مسائل چالشی (صفحه اول)
مسائل چالشی (صفحه دوم)
بیشتر بدانید!
+
تجزیه چندجمله ای های چندمتغیره
مقدمه
+
گروه بندی
آموزش از طریق حل مسئله
تمرین ها
+
جمع و تفریق توان ها
آموزش از طریق حل مسئله
تمرین ها
+
قضیه عامل برای چندجمله ای های چندمتغیره
آموزش از طریق حل مسئله
تمرین ها
جمع بندی
مسائل مروری (صفحه اول)
مسائل مروری (صفحه دوم)
مسائل چالشی (صفحه اول)
مسائل چالشی (صفحه دوم)
-
دنباله ها و سری ها
مقدمه
+
دنباله های حسابی
آموزش از طریق حل مسئله
تمرین ها
+
سری های حسابی
آموزش از طریق حل مسئله
تمرین ها
+
دنباله های هندسی
آموزش از طریق حل مسئله
تمرین ها
+
سری های هندسی
آموزش از طریق حل مسئله
تمرین ها
-
دنباله، نماد جمع زنی و ضرب
آموزش از طریق حل مسئله
تمرین ها
+
جمع و ضرب های تودرتو
آموزش از طریق حل مسئله
تمرین ها
جمع بندی
مسائل مروری (صفحه اول)
مسائل مروری (صفحه دوم)
مسائل چالشی (صفحه اول)
مسائل چالشی (صفحه دوم)
+
اتحادها، شگردها و استقرا
مقدمه
+
روش "Brute Force"
آموزش از طریق حل مسئله
تمرین ها
+
نسبت ها
آموزش از طریق حل مسئله
تمرین ها
+
استقرا
آموزش از طریق حل مسئله
تمرین ها
+
قضیه دوجمله ای
آموزش از طریق حل مسئله
تمرین ها
جمع بندی
مسائل مروری (صفحه اول)
مسائل مروری (صفحه دوم)
مسائل چالشی (صفحه اول)
مسائل چالشی (صفحه دوم)
+
نابرابری ها
مقدمه
+
کار کردن با نابرابری ها
آموزش از طریق حل مسئله
تمرین ها
+
نابرابری بدیهی
آموزش از طریق حل مسئله
تمرین ها
+
نابرابری حسابی-هندسی با دو متغیر
آموزش از طریق حل مسئله
تمرین ها
+
نابرابری حسابی-هندسی با متغیرهای بیشتر
آموزش از طریق حل مسئله
تمرین ها
+
نابرابری کوشی-شوارتز
آموزش از طریق حل مسئله
تمرین ها
+
ماکسیمم و مینیمم
آموزش از طریق حل مسئله
تمرین ها
جمع بندی
مسائل مروری (صفحه اول)
مسائل مروری (صفحه دوم)
مسائل چالشی
مسائل چالشی (صفحه دوم)
بیشتر بدانید!
+
توان و لگاریتم
مقدمه
+
مقدمات تابع نمایی
آموزش از طریق حل مسئله
تمرین ها
+
آشنایی با لگاریتم
آموزش از طریق حل مسئله
تمرین ها
+
اتحادهای لگاریتمی
آموزش از طریق حل مسئله
تمرین ها
+
استفاده از اتحادهای لگاریتمی
آموزش از طریق حل مسئله
تمرین ها
+
تعویض بین لگاریتم و توان
آموزش از طریق حل مسئله
تمرین ها
+
لگاریتم های طبیعی و فروپاشی نمایی
آموزش از طریق حل مسئله
تمرین ها
جمع بندی
مسائل مروری (صفحه اول)
مسائل مروری (صفحه دوم)
مسائل چالشی (صفحه اول)
مسائل چالشی (صفحه دوم)
+
رادیکال ها
مقدمه
+
به توان رساندن رادیکال ها
آموزش از طریق حل مسئله
تمرین ها
+
محاسبه عبارات شامل رادیکال ها
آموزش از طریق حل مسئله
تمرین ها
+
مزدوج رادیکالی
آموزش از طریق حل مسئله
تمرین ها
جمع بندی
مسائل مروری
مسائل چالشی
+
رده های ویژه توابع
+
توابع گویا و نمودار آن ها
آموزش از طریق حل مسئله
تمرین ها
+
معادلات توابع گویا و نابرابری ها
آموزش از طریق حل مسئله
تمرین ها
+
توابع زوج و فرد
آموزش از طریق حل مسئله
تمرین ها
+
توابع یکنوا
آموزش از طریق حل مسئله
تمرین ها
جمع بندی
مسائل مروری (صفحه اول)
مسائل مروری (صفحه دوم)
مسائل چالشی
بیشتر بدانید!
+
توابع قطعه به قطعه تعریف شده
مقدمه
+
آشنایی با توابع قطعه قطعه تعریف شده
آموزش از طریق حل مسئله
تمرین ها
+
قدر مطلق
آموزش از طریق حل مسئله
تمرین ها
+
ترسیم قدر مطلق
آموزش از طریق حل مسئله
تمرین ها
+
کف و سقف
آموزش از طریق حل مسئله
تمرین ها
+
حل مسئله با تابع کف
آموزش از طریق حل مسئله
تمرین ها
جمع بندی
مسائل مروری (صفحه اول)
مسائل مروری (صفحه دوم)
مسائل چالشی (صفحه اول)
مسائل چالشی (صفحه دوم)
+
دنباله ها و سری های بیشتر
مقدمه
+
جبر دنباله های بازگشتی
آموزش از طریق حل مسئله
تمرین ها
+
تلسکوپی
آموزش از طریق حل مسئله
تمرین ها
+
حاصل جمع سری های چندجمله ای
آموزش از طریق حل مسئله
تمرین ها
+
سری های حسابی-هندسی
آموزش از طریق حل مسئله
تمرین ها
+
تفاضل های متناهی
آموزش از طریق حل مسئله
تمرین ها
جمع بندی
مسائل مروری
مسائل چالشی
+
نابرابری های بیشتر
+
زنجیر نامساوی های میانگین
آموزش از طریق حل مسئله
تمرین ها
+
نامساوی جایگشتی
آموزش از طریق حل مسئله
تمرین ها
+
وقتی فرمول ها جواب نمی دهند
آموزش از طریق حل مسئله
تمرین ها
جمع بندی
مسائل مروری (صفحه اول)
مسائل مروری (صفحه دوم)
مسائل چالشی (صفحه اول)
مسائل چالشی (صفحه دوم)
+
معادلات تابعی
مقدمه
+
پیدا کردن مقادیر
آموزش از طریق حل مسئله
تمرین ها
+
پیدا کردن توابع با جایگذاری
آموزش از طریق حل مسئله
تمرین ها
+
جداسازی
آموزش از طریق حل مسئله
تمرین ها
+
توابع دوری
آموزش از طریق حل مسئله
تمرین ها
جمع بندی
مسائل مروری
مسائل چالشی
+
برخی استراتژی های پیشرفته
مقدمه
+
تقارن
آموزش از طریق حل مسئله
تمرین ها
+
جای گذاری برای ساده سازی
آموزش از طریق حل مسئله
تمرین ها
+
روش ضرایب نامعین
آموزش از طریق حل مسئله
تمرین ها
+
ساختن چندجمله ای ها از ریشه ها
آموزش از طریق حل مسئله
تمرین ها
+
مقسوم علیه های مشترک چندجمله ای ها
آموزش از طریق حل مسئله
تمرین ها
+
مواجهه دوباره با جمع های متقارن
آموزش از طریق حل مسئله
تمرین ها
جمع بندی
مسائل مروری (صفحه اول)
مسائل مروری (صفحه دوم)
مسائل چالشی (صفحه اول)
مسائل چالشی (صفحه دوم)
راهنمایی مسائل ستاره دار
+
هنر حل مسأله: آشنایی با جبر
+
پیروی کردن از قوانین
مقدمه
+
اعداد
آموزش از طریق حل مسئله
+
ترتیب عملیات
آموزش از طریق حل مسئله
تمرین ها
+
چه زمانی ترتیب مهم است؟
آموزش از طریق حل مسئله
تمرین ها
+
پخشی و فاکتورگیری
آموزش از طریق حل مسئله
تمرین ها
+
معادلات
آموزش از طریق حل مسئله
تمرین ها
جمع بندی
+
x مکان را معلوم می کند
مقدمه
+
عبارت ها
آموزش از طریق حل مسئله
تمرین ها
+
حساب مربوط به عبارت ها
آموزش از طریق حل مسئله
تمرین ها
+
پخشی، تفریق و فاکتورگیری
آموزش از طریق حل مسئله
تمرین ها
+
کسرها
آموزش از طریق حل مسئله
تمرین ها
جمع بندی
مسائل مروری (صفحه اول)
مسائل مروری (صفحه دوم)
مسائل چالشی
+
معادلات خطی تک متغیره
مقدمه
+
حل کردن معادلات خطی (1)
آموزش از طریق حل مسئله
تمرین ها
+
حل کردن معادلات خطی (2)
آموزش از طریق حل مسئله
تمرین ها
+
مسائل با صورت کلامی
آموزش از طریق حل مسئله
تمرین ها
+
معادلات خطی با تغییر ظاهر
آموزش از طریق حل مسئله
تمرین ها
جمع بندی
مسائل مروری
مسائل چالشی
+
متغیرهای بیشتر
مقدمه
+
تعیین مقادیر عبارات چندمتغیره
آموزش از طریق حل مسئله
تمرین ها
+
باز هم حساب بیشتر
آموزش از طریق حل مسئله
تمرین ها
+
پخشی و فاگتورگیری
آموزش از طریق حل مسئله
تمرین ها
+
کسرها
آموزش از طریق حل مسئله
تمرین ها
+
معادلات
آموزش از طریق حل مسئله
تمرین ها
جمع بندی
مسائل مروری
مسائل چالشی
+
معادلات خطی چندمتغیره
مقدمه
+
آشنایی با معادلات خطی دو متغیره
آموزش از طریق حل مسئله
تمرین ها
+
روش جای گذاری
آموزش از طریق حل مسئله
تمرین ها
+
روش حذفی
آموزش از طریق حل مسئله
تمرین ها
+
مسائل با صورت کلامی
آموزش از طریق حل مسئله
تمرین ها
+
معادلات خطی بیشتر با تغییر ظاهر
آموزش از طریق حل مسئله
تمرین ها
+
متغیرهای بیشتر
آموزش از طریق حل مسئله
تمرین ها
جمع بندی
مسائل مروری
مسائل چالشی
مطالب اضافی
+
نسبت و درصد
+
مسائل مقدماتی نسبت
آموزش از طریق حل مسئله
تمرین ها
+
مسائل دشوارتر نسبت
آموزش از طریق حل مسئله
تمرین ها
+
ضرایب تبدیل
آموزش از طریق حل مسئله
تمرین ها
+
درصد
آموزش از طریق حل مسئله
تمرین ها
+
مسائل مرتبط با درصد
آموزش از طریق حل مسئله
تمرین ها
جمع بندی
مسائل مروری (صفحه اول)
مسائل مروری (صفحه دوم)
مسائل چالشی
+
تناسب
+
تناسب مستقیم
آموزش از طریق حل مسئله
تمرین ها
+
تناسب معکوس
آموزش از طریق حل مسئله
تمرین ها
+
تناسب مرکب
آموزش از طریق حل مسئله
تمرین ها
+
مسائل سرعت
آموزش از طریق حل مسئله
تمرین ها
جمع بندی
مسائل مروری (صفحه اول)
مسائل مروری (صفحه دوم)
مسائل چالشی
+
ترسیم خطوط
مقدمه
+
محور اعداد و صفحه دکارتی
آموزش از طریق حل مسئله
تمرین ها
+
آشنایی با ترسیم معادلات خطی
آموزش از طریق حل مسئله
تمرین ها
+
استفاده از شیب در مسائل
آموزش از طریق حل مسئله
تمرین ها
+
یافتن معادله
آموزش از طریق حل مسئله
تمرین ها
+
شیب و تقاطع ها
آموزش از طریق حل مسئله
تمرین ها
+
مقایسه خطوط
آموزش از طریق حل مسئله
تمرین ها
جمع بندی
مسائل مروری (صفحه اول)
مسائل مروری (صفحه دوم)
مسائل چالشی
+
آشنایی با نابرابری ها
مقدمه
+
پایه ها
آموزش از طریق حل مسئله
تمرین ها
+
کدام یک بزرگتر است؟
آموزش از طریق حل مسئله
تمرین ها
+
نابرابری های خطی
آموزش از طریق حل مسئله
تمرین ها
+
ترسیم نابرابری ها
آموزش از طریق حل مسئله
تمرین ها
+
بهینه سازی
آموزش از طریق حل مسئله
تمرین ها
جمع بندی
مسائل مروری (صفحه اول)
مسائل مروری (صفحه دوم)
مسائل چالشی
+
معادلات درجه دوم (1)
مقدمه
+
شروع کار با عبارات درجه دوم
آموزش از طریق حل مسئله
تمرین ها
+
تجزیه عبارات درجه دوم (1)
آموزش از طریق حل مسئله
تمرین ها
+
تجزیه عبارات درجه دوم (2)
آموزش از طریق حل مسئله
تمرین ها
+
مجموع و حاصل ضرب ریشه های یک معادله درجه دوم
آموزش از طریق حل مسئله
تمرین ها
+
توسعه و کاربردها
آموزش از طریق حل مسئله
تمرین ها
جمع بندی
مسائل مروری (صفحه اول)
مسائل مروری (صفحه دوم)
مسائل چالشی
+
تجزیه های خاص
مقدمه
+
مربع دوجمله ای
آموزش از طریق حل مسئله
تمرین ها
+
تفاضل مربعات
آموزش از طریق حل مسئله
تمرین ها
+
مجموع و تفاضل مکعبات
آموزش از طریق حل مسئله
تمرین ها
+
گویاسازی مخرج
آموزش از طریق حل مسئله
تمرین ها
+
ترفند تجزیه محبوب سیمون
آموزش از طریق حل مسئله
تمرین ها
جمع بندی
مسائل مروری (صفحه اول)
مسائل مروری (صفحه دوم)
مسائل چالشی
+
اعداد مختلط
+
اعداد، اعداد و اعداد بیشتر!
آموزش از طریق حل مسئله
+
اعداد موهومی
آموزش از طریق حل مسئله
تمرین ها
+
اعداد مختلط
آموزش از طریق حل مسئله
تمرین ها
جمع بندی
مسائل مروری
مسائل چالشی
+
معادلات درجه دوم (2)
مقدمه
+
دوباره مربع دوجمله ای
آموزش از طریق حل مسئله
تمرین ها
+
مربع کامل سازی
آموزش از طریق حل مسئله
تمرین ها
+
فرمول معادله درجه دوم
آموزش از طریق حل مسئله
تمرین ها
+
توسعه و کاربردها
آموزش از طریق حل مسئله
تمرین ها
جمع بندی
مسائل مروری (صفحه دوم)
مسائل مروری (صفحه اول)
مسائل چالشی
+
ترسیم معادلات درجه دوم
مقدمه
+
سهمی ها
آموزش از طریق حل مسئله
تمرین ها
+
دایره ها
آموزش از طریق حل مسئله
تمرین ها
جمع بندی
مسائل مروری
مسائل چالشی
+
نابرابری های بیشتر
مقدمه
+
نابرابری های درجه دوم
آموزش از طریق حل مسئله
تمرین ها
+
فراتر از درجه دوم
آموزش از طریق حل مسئله
تمرین ها
+
نابرابری بدیهی
آموزش از طریق حل مسئله
تمرین ها
+
بهینه سازی درجه دوم
آموزش از طریق حل مسئله
تمرین ها
جمع بندی
مسائل مروری
مسائل چالشی (صفحه اول)
مسائل چالشی (صفحه دوم)
+
توابع
+
ماشین
آموزش از طریق حل مسئله
تمرین ها
+
عملیات بین توابع
آموزش از طریق حل مسئله
تمرین ها
+
ترکیب
آموزش از طریق حل مسئله
تمرین ها
+
توابع معکوس
آموزش از طریق حل مسئله
تمرین ها
+
حل مسئله در مورد توابع
آموزش از طریق حل مسئله
تمرین ها
+
عملیات
آموزش از طریق حل مسئله
تمرین ها
جمع بندی
مسائل مروری (صفحه اول)
مسائل مروری (صفحه دوم)
مسائل چالشی
+
ترسیم توابع
+
مقدمات
آموزش از طریق حل مسئله
تمرین ها
+
تبدیلات
آموزش از طریق حل مسئله
تمرین ها
+
مواجهه جدید با وارون توابع
آموزش از طریق حل مسئله
تمرین ها
جمع بندی
مسائل مروری
مسائل چالشی
+
چندجمله ای ها
مقدمه
+
جمع و تفریق
آموزش از طریق حل مسئله
تمرین ها
+
ضرب
آموزش از طریق حل مسئله
تمرین ها
جمع بندی
مسائل مروری
مسائل چالشی
مطالب اضافی
+
توابع نمایی و لگاریتمی
مقدمه
+
توابع نمایی
آموزش از طریق حل مسئله
تمرین ها
+
محاسبات مالی
آموزش از طریق حل مسئله
تمرین ها
+
مسائل بهره
آموزش از طریق حل مسئله
تمرین ها
+
لگاریتم چیست؟
آموزش از طریق حل مسئله
تمرین ها
جمع بندی
مسائل مروری
مسائل چالشی
+
توابع خاص
+
رادیکال
آموزش از طریق حل مسئله
تمرین ها
+
قدرمطلق
آموزش از طریق حل مسئله
تمرین ها
+
کف و سقف
آموزش از طریق حل مسئله
تمرین ها
+
توابع گویا
آموزش از طریق حل مسئله
تمرین ها
+
توابع چندضابطه ای
آموزش از طریق حل مسئله
تمرین ها
جمع بندی
مسائل مروری (صفحه اول)
مسائل مروی (صفحه دوم)
مسائل چالشی (صفحه اول)
مسائل چالشی (صفحه دوم)
+
دنباله و سری
مقدمه
+
دنباله های حسابی
آموزش از طریق حل مسئله
تمرین ها
+
سری های حسابی
آموزش از طریق حل مسئله
تمرین ها
+
دنباله های هندسی
آموزش از طریق حل مسئله
تمرین ها
+
سری های هندسی
آموزش از طریق حل مسئله
تمرین ها
+
تلسکوپی
آموزش از طریق حل مسئله
تمرین ها
جمع بندی
مطالب اضافی
مسائل مروری (صفحه اول)
مسائل مروری (صفحه دوم)
مسائل چالشی
+
مهارت های ویژه
مقدمه
+
به توان رساندن معادلات
آموزش از طریق حل مسئله
تمرین ها
+
خود تشابهی در عبارات
آموزش از طریق حل مسئله
تمرین ها
+
تقارن
آموزش از طریق حل مسئله
تمرین ها
جمع بندی
مسائل مروری
مسائل چالشی (صفحه اول)
مسائل چالشی (صفحه دوم)
راهنمایی ها (مخصوص مسائل ستاره دار)
+
هنر حل مسئله: و فراتر
اثبات کنید!
+
لگاریتم
طرح درس
پاسخ تمرین ها
مسائل
+
نه فقط برای مثلث های قائم الزاویه
توابع مثلثاتی
ترسیم توابع مثلثاتی
بازگشتن
کار کردن همزمان با همگی
حل کردن مسائل با کمک اتحادهای مثلثاتی
پاسخ تمرین ها
مسائل (1)
مسائل (2)
+
مثلث های بیشتر!
قواعد مثلث
مساحت، مساحت و مساحت
خطوط مهم بیشتر
پاسخ تمرین ها
مسائل (1)
مسائل (2)
+
چهارضلعی های محاطی
خواص چهارضلعی های محاطی
یافتن چهارضلعی های محاطی
قضیه بطلمیوس
پاسخ تمرین ها
مسائل
+
مقاطع مخروطی و مختصات قطبی
مقدمه
سهمی
بیضی
هذلولی
مواجهه دوباره با مختصات قطبی
جمله مزاحم xy
پاسخ تمرین ها
مسائل
+
چندجمله ای ها
چندجمله ای چیست؟
ضرب و تقسیم چندجمله ای ها
یافتن ریشه های چندجمله ای ها
ضرایب و ریشه ها
تبدیل کردن چندجمله ای ها
حاصل جمع های نیوتون
پاسخ تمرین ها
مسائل (1)
مسائل (2)
+
توابع
وارون تابع
معادلات تابعی
حل معادلات تابعی
پاسخ تمرین ها
مسائل (1)
مسائل (2)
+
حد
حد چیست؟
گول زننده
کار کردن با حد
پیوستگی
مجانب ها
حد توابع مثلثاتی
e
پاسخ تمرین ها
مسائل
+
اعدادمختلط
ترسیم
قدرمطلق
ضرب اعداد مختلط و مختصات
به توان رساندن اعداد مختلط و هندسه
قضیه دموار
فرم نمایی
یک تیر و دو نشان
ریشه های واحد
پاسخ تمرین ها
مسائل
+
بردارها و ماتریس ها
بردار چیست؟
ضرب داخلی
نمایش مختصاتی بردارها
ماتریس چیست؟
ضرب ماتریسی
ماتریس های ابعاد بالاتر
نمادگذاری بهتر ماتریس
پاسخ تمرین ها
مسائل
+
ضرب خارجی و دترمینان
ضرب خارجی
ضرب خارجی بر حسب مختصات
دترمینان
دترمینان در ابعاد بالاتر
کهادها
عملیات سطری و ستونی
وارون ماتریس
پاسخ تمرین ها
مسائل
+
هندسه تحلیلی
خط، زاویه و فاصله
پارامترها
بردار
نقطه، خط و صفحه
سطوح منحنی
به کار بردن هندسه تحلیلی
بردارها و مسائل هندسه
پاسخ تمرین ها
مسائل
+
معادلات و عبارات جبری
معادلات خطی
دستگاه های معادلات راحت
عبارات متقارن و تجزیه های پیشرفته
باز هم چندجمله ای
مربع و مکعب
کمک گرفتن از ترسیم
پاسخ تمرین ها
مسائل (1)
مسائل (2)
+
نابرابری ها
مقدمه
مواجهه دوباره با نابرابری بدیهی
نابرابری میانگین حسابی-هندسی
نابرابری کوشی
بیشینه سازی و کمینه سازی
هندسه و نابرابری ها
اشارات پایانی
پاسخ تمرین ها
مسائل (1)
مسائل (2)
+
ترکیبیات
اتحادها
اتحاد پاسکال
اتحادهای بیشتر
تکنیک "قدم زدن در قطعات (Block Walking)"
قضیه دوجمله ای
پاسخ تمرین ها
مسائل
+
دنباله ها و سری ها
کسرها در مبناهای دیگر
برخی سری های خاص
اعداد فیبوناچی
کار کردن با روابط بازگشتی
کار کردن با جمع ها
مواجهه دوباره با قضیه دوجمله ای
دنباله های هارمونیک
پاسخ تمرین ها
مسائل (1)
مسائل (2)
مسائل (3)
+
روش های عجیب و غریب شمارش
مقدمه
یک به یکی
+
تناظرهای هوشمندانه
تمرین ها
اصل شمول و عدم شمول
توابع مولد
افرازها
شمارش روی جداول
شمارش مجموعه های نامتناهی
پاسخ تمرین ها
مسائل (1)
مسائل (2)
+
دوباره و دوباره
تکرارها
نامتناهی راحت تر است
کسرهای مسلسل گویا
کسرهای مسلسل حقیقی
پاسخ تمرین ها
مسائل
+
احتمال
مقدمه
مرور، تعاریف و نمادگذاری
یک گام جلوتر
هندسه و احتمال
احتمال شرطی
پاسخ تمرین ها
مسائل (1)
مسائل (2)
+
مکان هندسی و ترسیم
مکان هندسی
ترسیم
پاسخ تمرین ها
مسائل (1)
مسائل (2)
+
هم خطی و همرسی
سه نقطه و یک خط
سه خط و یک نقطه
پاسخ تمرین ها
مسائل
+
ریزه کاری هایی جذاب در هندسه
تصویر
انعکاس
تجانس
پیوستگی هندسی
قضیه سیلوستر
پاسخ تمرین ها
مسائل (1)
مسائل (2)
+
نظریه اعداد
بخش پذیری
تقسیم کردن در هم نهشتی ها
حل معادلات هم نهشتی خطی
حل معادلات هم نهشتی مربعی
حاضلجمع مقسوم علیه ها
قضیه فرما
تابع فی
قضیه ویلسون
پاسخ تمرین ها
مسائل (1)
مسائل (2)
مسائل (3)
+
معادلات دیوفانتی
ax+by=c
x^2+y^2=z^2
x^4+y^4=z^2
معادله پل
روش های عمومی
پاسخ تمرین ها
مسائل (1)
مسائل (2)
+
نظریه گراف
نقاط و خطوط
گراف مسطح
مثال: اجسام افلاطونی
گشت زدن روی گراف ها
تور اویلری
رنگ آمیزی ها
پاسخ تمرین ها
مسائل
+
تیر خداحافظی
مسائل (1)
مسائل (2)
مسائل (3)
مسائل (4)
مسائل (5)
مسائل (6)
+
هنر حل مسئله: پیش جبر
+
ویژگی های محاسبات
+
چرا با محاسبات شروع میکنیم؟
آموزش از طریق حل مسئله
+
جمع
آموزش از طریق حل مسئله
تمرین ها
+
ضرب
آموزش از طریق حل مسئله
تمرین ها
+
قرینه کردن
آموزش از طریق حل مسئله
تمرین ها
+
تفریق
آموزش از طریق حل مسئله
تمرین ها
+
معکوس ها
آموزش از طریق حل مسئله
تمرین ها
+
تقسیم
آموزش از طریق حل مسئله
تمرین ها
جمع بندی
مسائل مروری (صفحه اول)
مسائل مروری (صفحه دوم)
مسائل چالشی
+
توان ها
مقدمه
+
مربعات
آموزش از طریق حل مسئله
تمرین ها
+
توان های بالاتر
آموزش از طریق حل مسئله
تمرین ها
+
صفر به عنوان توان
آموزش از طریق حل مسئله
تمرین ها
+
توان های منفی
آموزش از طریق حل مسئله
تمرین ها
جمع بندی
مسائل مروری (صفحه اول)
مسائل مروری (صفحه دوم)
مسائل چالشی (صفحه اول)
مسائل چالشی (صفحه دوم)
+
نظریه اعداد
مقدمه
+
مضارب
آموزش از طریق حل مسئله
تمرین ها
+
آزمون بخش پذیری
آموزش از طریق حل مسئله
تمرین ها
+
اعداد اول
آموزش از طریق حل مسئله
تمرین ها
+
تجزیه به عوامل اول
آموزش از طریق حل مسئله
تمرین ها
+
کوچکترین مضرب مشترک
آموزش از طریق حل مسئله
تمرین ها
+
مقسوم علیه ها
آموزش از طریق حل مسئله
تمرین ها
+
بزرگ ترین مقسوم علیه مشترک
آموزش از طریق حل مسئله
تمرین ها
جمع بندی
مسائل مروری (صفحه اول)
مسائل مروری (صفحه دوم)
مسائل چالشی
+
کسرها
+
کسر چیست؟
آموزش از طریق حل مسئله
تمرین ها
+
ضربِ کسرها
آموزش از طریق حل مسئله
تمرین ها
+
تقسیم بر یک کسر
آموزش از طریق حل مسئله
تمرین ها
+
به توان رساندن کسرها
آموزش از طریق حل مسئله
تمرین ها
+
ساده ترین صورت کسر
آموزش از طریق حل مسئله
تمرین ها
+
مقایسه کسرها
آموزش از طریق حل مسئله
تمرین ها
+
حاصل جمع و تفریق کسرها
آموزش از طریق حل مسئله
تمرین ها
+
اعداد مخلوط
آموزش از طریق حل مسئله
تمرین ها
جمع بندی
مسائل مروری (صفحه اول)
مسائل مروری (صفحه دوم)
مسائل چالشی
+
معادله ها و نامعادله ها
+
عبارت های ریاضی
آموزش از طریق حل مسئله
تمرین ها
+
حل معادلات خطی (1)
آموزش از طریق حل مسئله
تمرین ها
+
حل معادلات خطی (2)
آموزش از طریق حل مسئله
تمرین ها
+
مسائل کلامی
آموزش از طریق حل مسئله
تمرین ها
+
نابرابری ها
آموزش از طریق حل مسئله
تمرین ها
جمع بندی
مسائل مروری (صفحه اول)
مسائل مروری (صفحه دوم)
مسائل چالشی
+
اعداد اعشاری
مقدمه
+
محاسبات اعشاری
آموزش از طریق حل مسئله
تمرین ها
+
گرد کردن
آموزش از طریق حل مسئله
تمرین ها
+
اعداد اعشاری و کسر ها
آموزش از طریق حل مسئله
تمرین ها
+
اعداد اعشاری متناوب
آموزش از طریق حل مسئله
تمرین ها
جمع بندی
مسائل مروری
مسائل چالشی
+
نسبت، تناسب و تبدیل
مقدمه
+
نسبت چیست؟
آموزش از طریق حل مسئله
تمرین ها
+
نسبت های چندجزئی
آموزش از طریق حل مسئله
تمرین ها
+
تناسب
آموزش از طریق حل مسئله
تمرین ها
+
تبدیل ها
آموزش از طریق حل مسئله
تمرین ها
+
سرعت حرکت
آموزش از طریق حل مسئله
تمرین ها
+
سرعت های دیگر
آموزش از طریق حل مسئله
تمرین ها
مسائل مروری (صفحه اول)
مسائل مروری (صفحه دوم)
مسائل چالشی
+
درصد
+
درصد چیست؟
آموزش از طریق حل مسئله
تمرین ها
+
مسائل کلامی
آموزش از طریق حل مسئله
تمرین ها
+
درصد رشد و نزول
آموزش از طریق حل مسئله
تمرین ها
جمع بندی
مسائل مروری (صفحه اول)
مسائل مروری (صفحه دوم)
مسائل چالشی
+
ریشه های دوم
مقدمه
+
از مربع کامل تا ریشه های دوم
آموزش از طریق حل مسئله
تمرین ها
+
ریشه های دوم اعداد غیر مربع کامل
آموزش از طریق حل مسئله
تمرین ها
+
محاسبات با ریشه های دوم
آموزش از طریق حل مسئله
تمرین ها
جمع بندی
مسائل مروری (صفحه اول)
مسائل مروری (صفحه دوم)
مسائل چالشی (صفحه اول)
مسائل چالشی (صفحه دوم)
+
زاویه ها
مقدمه
+
اندازه گیری زاویه ها
آموزش از طریق حل مسئله
تمرین ها
+
خطوط موازی
آموزش از طریق حل مسئله
تمرین ها
+
زوایا در چند ضلعی ها
آموزش از طریق حل مسئله
تمرین ها
جمع بندی
مسائل مروری
مسائل چالشی
+
محیط و مساحت
مقدمه
+
اندازه گیری پاره خط
آموزش از طریق حل مسئله
تمرین ها
+
مساحت
آموزش از طریق حل مسئله
تمرین ها
+
دایره ها
آموزش از طریق حل مسئله
تمرین ها
جمع بندی
مسائل مروری (صفحه اول)
مسائل مروری (صفحه دوم)
مسائل چالشی
+
مثلث قائم الزاویه و چهارضلعی ها
+
قضیه فیثاغورث
آموزش از طریق حل مسئله
تمرین ها
+
برخی مثلث های خاص
آموزش از طریق حل مسئله
تمرین ها
+
انواع چهارضلعی
آموزش از طریق حل مسئله
تمرین ها
جمع بندی
مسائل مروری
مسائل چالشی
+
داده ها و آمار
مقدمه
+
آمار پایه
آموزش از طریق حل مسئله
تمرین ها
+
حدود آمار پایه
آموزش از طریق حل مسئله
تمرین ها
+
جداول، نمودار ها و چارت ها
آموزش از طریق حل مسئله
تمرین ها
جمع بندی
مسائل مروری
مسائل چالشی
+
شمارش
مقدمه
+
شمردن با جمع و تفریق
آموزش از طریق حل مسئله
تمرین ها
+
اصل ضرب
آموزش از طریق حل مسئله
تمرین ها
+
حالت بندی
آموزش از طریق حل مسئله
تمرین ها
+
شمردن زوج ها
آموزش از طریق حل مسئله
تمرین ها
+
احتمال
آموزش از طریق حل مسئله
تمرین ها
جمع بندی
مسائل مروری (صفحه اول)
مسائل مروری (صفحه دوم)
مسائل چالشی
+
استراتژی های حل مسئله
مقدمه
+
یافتن الگو
آموزش از طریق حل مسئله
تمرین ها
+
ساختن یک لیست
آموزش از طریق حل مسئله
تمرین ها
+
کشیدن شکل
آموزش از طریق حل مسئله
تمرین ها
+
معکوس کار کردن
آموزش از طریق حل مسئله
تمرین ها
جمع بندی
مسائل مروری (صفحه اول)
مسائل مروری (صفحه دوم)
مسائل چالشی
راهنمایی ها (مخصوص مسائل ستاره دار)
+
هنر حل مسئله: آشنایی با هندسه
+
فایده ی اسم ها چیست؟
مقدمه
+
چرا اسم و نماد؟
آموزش از طریق حل مسئله
+
نقاط، خطوط و صفحات
آموزش از طریق حل مسئله
تمرین ها
+
گرد و گرد
آموزش از طریق حل مسئله
تمرین ها
+
ترسیم: کپی کردن یک پاره خط
آموزش از طریق حل مسئله
تمرین ها
+
بارِ اثبات
آموزش از طریق حل مسئله
جمع بندی
+
زاویه ها
+
زاویه چیست؟
آموزش از طریق حل مسئله
+
اندازه گیزی زوایا
آموزش از طریق حل مسئله
تمرین ها
+
زوایای نیم صفحه و متقابل به راس
آموزش از طریق حل مسئله
تمرین ها
+
خطوط موازی
آموزش از طریق حل مسئله
تمرین ها
+
زوایای درون مثلث
آموزش از طریق حل مسئله
تمرین ها
+
زوایای خارجی
آموزش از طریق حل مسئله
تمرین ها
+
بازبینی خطوط موازی
آموزش از طریق حل مسئله
تمرین ها
جمع بندی
مسائل مروری (صفحه اول)
مسائل مروری (صفحه دوم)
مسائل چالشی
+
مثلث های همنهشت
+
آشنایی
آموزش از طریق حل مسئله
+
همنهشتی " ض ض ض"
آموزش از طریق حل مسئله
تمرین ها
+
همنهشتی "ض ز ض"
آموزش از طریق حل مسئله
تمرین ها
+
همنهشتی های "ز ض ز" و "ز ز ض"
آموزش از طریق حل مسئله
تمرین ها
+
همنهشتی غیر الزامی "ض ض ز"
آموزش از طریق حل مسئله
+
مثلث های متساوی الساقین و متساوی الاضلاع
آموزش از طریق حل مسئله
تمرین ها
+
ترسیم: مثلث متساوی الاضلاع و عمود منصف
آموزش از طریق حل مسئله
تمرین ها
جمع بندی
مسائل مروری (صفحه اول)
مسائل مروری (صفحه دوم)
مسائل چالشی
+
محیط و مساحت
+
محیط
آموزش از طریق حل مسئله
تمرین ها
+
مساحت
آموزش از طریق حل مسئله
تمرین ها
+
قائده یکسان/ ارتفاع یکسان
آموزش از طریق حل مسئله
تمرین ها
جمع بندی
مسائل مروری
مسائل چالشی
+
مثلث های متشابه
+
تشابه چیست؟
آموزش از طریق حل مسئله
تمرین ها
+
تشابه "ز ز"
آموزش از طریق حل مسئله
تمرین ها
+
تشابه "ض ز ض"
آموزش از طریق حل مسئله
تمرین ها
+
تشابه "ض ض ض"
آموزش از طریق حل مسئله
تمرین ها
+
کاربرد تشابه در مسائل
آموزش از طریق حل مسئله
تمرین ها
+
ترسیم: خطوط موازی و زوایا
آموزش از طریق حل مسئله
تمرین ها
جمع بندی
مسائل مروری
مسائل چالشی
+
مثلث قائم الزاویه
مقدمه
+
قضیه فیثاغورس
آموزش از طریق حل مسئله
تمرین ها
+
دو مثلث قائم الزاویه خاص
آموزش از طریق حل مسئله
تمرین ها
+
اعداد فیثاغورسی
آموزش از طریق حل مسئله
تمرین ها
+
بازبینی تشابه و همنهشتی
آموزش از طریق حل مسئله
تمرین ها
+
فرمول هرون
آموزش از طریق حل مسئله
تمرین ها
+
ترسیم: خطوط عمود
آموزش از طریق حل مسئله
تمرین ها
جمع بندی
مسائل مروری (صفحه اول)
مسائل مروری (صفحه دوم)
مسائل چالشی
+
اجزای خاص مثلث
مقدمه
+
نیمساز و عمودمنصف
آموزش از طریق حل مسئله
تمرین ها
+
عمودمنصف های مثلث
آموزش از طریق حل مسئله
تمرین ها
+
نیمساز های مثلث
آموزش از طریق حل مسئله
تمرین ها
+
میانه ها
آموزش از طریق حل مسئله
تمرین ها
+
ارتفاع ها
آموزش از طریق حل مسئله
تمرین ها
+
مسئله های چالشی
آموزش از طریق حل مسئله
تمرین ها
+
ترسیم: نیمساز و عمودمنصف
آموزش از طریق حل مسئله
تمرین ها
جمع بندی
مسائل مروری
مسائل چالشی
+
چهارضلعی ها
+
پایه های چهارضلعی ها
آموزش از طریق حل مسئله
تمرین ها
+
ذوزنقه
آموزش از طریق حل مسئله
تمرین ها
+
متوازی الاضلاع
آموزش از طریق حل مسئله
تمرین ها
+
لوزی
آموزش از طریق حل مسئله
تمرین ها
+
مستطیل
آموزش از طریق حل مسئله
تمرین ها
+
مربع
آموزش از طریق حل مسئله
تمرین ها
+
اگر و تنها اگر
آموزش از طریق حل مسئله
تمرین ها
+
مسائل چهارضلعی ها
آموزش از طریق حل مسئله
تمرین ها
جمع بندی
مسائل مروری (صفحه اول)
مسائل مروری (صفحه دوم)
مسائل چالشی
+
چندضلعی ها
+
آشنایی با چندضلعی ها
آموزش از طریق حل مسئله
تمرین ها
+
زاویه در چندضلعی ها
آموزش از طریق حل مسئله
تمرین ها
+
محیط چندضلعی
آموزش از طریق حل مسئله
تمرین ها
+
مسائل چندضلعی ها
آموزش از طریق حل مسئله
تمرین ها
+
ترسیم: چندضلعی های منتظم
آموزش از طریق حل مسئله
تمرین ها
جمع بندی
مسائل مروری
مسائل چالشی
+
نامساوی های هندسی
مقدمه
+
اضلاع و زوایای یک مثلث
آموزش از طریق حل مسئله
تمرین ها
+
فیثاغورس- نه تنها برای مثلث قائم الزاویه؟
آموزش از طریق حل مسئله
تمرین ها
+
نابرابری مثلثی
آموزش از طریق حل مسئله
تمرین ها
جمع بندی
مسائل مروری
مسائل چالشی
+
دایره ها
+
اندازه کمان، طول کمان و محیط
آموزش از طریق حل مسئله
تمرین ها
+
مساحت
آموزش از طریق حل مسئله
تمرین ها
+
مساحت های عجیب تر
آموزش از طریق حل مسئله
تمرین ها
جمع بندی
مسائل مروری
مسائل چالشی
+
دوایر و زوایا
مقدمه
+
زوایای محیطی
آموزش از طریق حل مسئله
تمرین ها
+
زوایای داخل و خارج دایره
آموزش از طریق حل مسئله
تمرین ها
+
مماس ها
آموزش از طریق حل مسئله
تمرین ها
+
مسائل
آموزش از طریق حل مسئله
تمرین ها
+
ترسیم: مماس ها
آموزش از طریق حل مسئله
تمرین ها
جمع بندی
مسائل مروری (صفحه اول)
مسائل مروری (صفحه دوم)
مسائل چالشی (صفحه اول)
مسائل چالشی (صفحه دوم)
+
قوت یک نقطه
مقدمه
+
قوت یک نقطه چیست؟
آموزش از طریق حل مسئله
تمرین ها
+
مسائل قوت نقطه
آموزش از طریق حل مسئله
تمرین ها
جمع بندی
مسائل مروری
مسائل چالشی
+
هندسه سه بعدی
مقدمه
+
صفحات
آموزش از طریق حل مسئله
تمرین ها
+
منشور ها
آموزش از طریق حل مسئله
تمرین ها
+
اهرام
آموزش از طریق حل مسئله
تمرین ها
+
چند وجهی منتظم
آموزش از طریق حل مسئله
تمرین ها
جمع بندی
مسائل مروری (صفحه اول)
مسائل مروری (صفحه دوم)
مسائل چالشی (صفحه اول)
مسائل چالشی (صفحه دوم)
+
سطوح خمیده
+
استوانه
آموزش از طریق حل مسئله
تمرین ها
+
مخروط
آموزش از طریق حل مسئله
تمرین ها
+
کره
آموزش از طریق حل مسئله
تمرین ها
+
مسائل
آموزش از طریق حل مسئله
تمرین ها
جمع بندی
مسائل مروری
مسائل چالشی
+
چیزهای بیشتری تغییر می کنند...
مقدمه
+
انتقال
آموزش از طریق حل مسئله
تمرین ها
+
دوران
آموزش از طریق حل مسئله
تمرین ها
+
تقارن
آموزش از طریق حل مسئله
تمرین ها
+
تجانس
آموزش از طریق حل مسئله
تمرین ها
+
عوض کردن سوال
آموزش از طریق حل مسئله
تمرین ها
+
ترسیم: تبدیلات
آموزش از طریق حل مسئله
تمرین ها
جمع بندی
مسائل مروری (صفحه اول)
مسائل مروری (صفحه دوم)
مسائل چالشی
+
هندسه تحلیلی
مقدمه
+
خطوط
آموزش از طریق حل مسئله
تمرین ها
+
دوایر
آموزش از طریق حل مسئله
تمرین ها
+
مسائل مقدماتی هندسه تحلیلی
آموزش از طریق حل مسئله
تمرین ها
+
اثبات ها با هندسه تحلیلی
آموزش از طریق حل مسئله
تمرین ها
+
فاصله بین نقطه و خط
آموزش از طریق حل مسئله
تمرین ها
+
مسائل پیشرفته هندسه تحلیلی
آموزش از طریق حل مسئله
تمرین ها
جمع بندی
مسائل مروری (صفحه اول)
مسائل مروری (صفحه دوم)
مسائل چالشی
+
آشنایی با مثلثات
مقدمه
+
مثلثات و مثلث قائم الزاویه
آموزش از طریق حل مسئله
تمرین ها
+
نه تنها برای مثلث قائم الزاویه
آموزش از طریق حل مسئله
تمرین ها
+
قانون سینوس ها و قانون کسینوس ها
آموزش از طریق حل مسئله
تمرین ها
جمع بندی
مسائل مروری (صفحه اول)
مسائل مروری (صفحه دوم)
مسائل چالشی
+
استراتژی های حل مسئله در هندسه
مقدمه
+
خط اضافه
آموزش از طریق حل مسئله
تمرین ها
+
تخصیص متغیرها
آموزش از طریق حل مسئله
تمرین ها
+
اثبات ها
آموزش از طریق حل مسئله
تمرین ها
جمع بندی
مسائل چالشی (صفحه اول)
مسائل چالشی (صفحه دوم)
راهنمایی مسائل ستاره دار
+
هنر حل مسئله: آشنایی با نظریه اعداد
+
اعداد صحیح: مبانی
+
آشنایی
آموزش از طریق حل مسئله
+
ساختن اعداد صحیح از روی اعداد صحیح
آموزش از طریق حل مسئله
تمرین ها
+
مضارب صحیح
آموزش از طریق حل مسئله
تمرین ها
+
بخش پذیری اعداد صحیح
آموزش از طریق حل مسئله
تمرین ها
+
مقسوم علیه ها
آموزش از طریق حل مسئله
تمرین ها
+
کاربرد مقسوم علیه ها
آموزش از طریق حل مسئله
تمرین ها
+
نمادهای ریاضی
آموزش از طریق حل مسئله
تمرین ها
جمع بندی
مسائل مروری
مسائل چالشی
+
اعداد اول و مرکب
+
آشنایی
آموزش از طریق حل مسئله
+
اعداد اول و مرکب
آموزش از طریق حل مسئله
تمرین ها
+
تشخیص اعداد اول ۱
آموزش از طریق حل مسئله
تمرین ها
+
تشخیص اعداد اول ۲
آموزش از طریق حل مسئله
تمرین ها
جمع بندی
مسائل مروری
مسائل چالشی
+
مضارب و مقسوم علیه ها
+
آشنایی
آموزش از طریق حل مسئله
+
مقسوم علیه های مشترک
آموزش از طریق حل مسئله
تمرین ها
+
بزرگترین مقسوم علیه مشترک (ب.م.م)
آموزش از طریق حل مسئله
تمرین ها
+
مضارب مشترک
آموزش از طریق حل مسئله
تمرین ها
+
باقی مانده ها
آموزش از طریق حل مسئله
تمرین ها
+
مضارب، مقسوم علیه ها و محاسبات
آموزش از طریق حل مسئله
تمرین ها
+
الگوریتم اقلیدس
آموزش از طریق حل مسئله
تمرین ها
جمع بندی
تمرین ها
مسائل مروری
مسائل چالشی
+
تجزیه به عوامل اول
+
آشنایی
آموزش از طریق حل مسئله
+
درخت عوامل
آموزش از طریق حل مسئله
تمرین ها
+
تجزیه و مضارب
آموزش از طریق حل مسئله
تمرین ها
+
تجزیه و مقسوم علیه ها
آموزش از طریق حل مسئله
تمرین ها
+
اعداد کسری و ساده ترین صورت
آموزش از طریق حل مسئله
تمرین ها
+
تجزیه به عوامل اول و حل مسئله
آموزش از طریق حل مسئله
تمرین ها
+
روابط بین ب.م.م و ک.م.م
آموزش از طریق حل مسئله
تمرین ها
جمع بندی
مسائل مروری
مسائل چالشی (صفحه اول)
مسائل چالشی (صفحه دوم)
+
مسائل مقسوم علیه ها
+
آشنایی
آموزش از طریق حل مسئله
+
شمارش مقسوم علیه ها
آموزش از طریق حل مسئله
تمرین ها
+
مسائل شمارش مقسوم علیه ها
آموزش از طریق حل مسئله
تمرین ها
+
حاصل ضرب مقسوم علیه ها
آموزش از طریق حل مسئله
تمرین ها
جمع بندی
مسائل مروری
مسائل چالشی (صفحه اول)
مسائل چالشی (صفحه دوم)
+
اعداد خاص
+
آشنایی
آموزش از طریق حل مسئله
+
برخی اعداد اول خاص
آموزش از طریق حل مسئله
تمرین ها
+
فاکتوریل، توان و بخش پذیری
آموزش از طریق حل مسئله
تمرین ها
+
اعداد کامل، زائد و ناقص
آموزش از طریق حل مسئله
تمرین ها
+
پالیندروم ها
آموزش از طریق حل مسئله
تمرین ها
جمع بندی
مسائل مروری
مسائل چالشی (صفحه اول)
مسائل چالشی (صفحه دوم)
+
جبرِ اعداد صحیح
+
آشنایی
آموزش از طریق حل مسئله
+
مسائل
آموزش از طریق حل مسئله
+
جمع بندی
آموزش از طریق حل مسئله
مسائل چالشی (صفحه اول)
مسائل چالشی (صفحه دوم)
+
مبنا
+
آشنایی
آموزش از طریق حل مسئله
+
شمارش در بسته ها
آموزش از طریق حل مسئله
تمرین ها
+
اعداد در مبنا
آموزش از طریق حل مسئله
تمرین ها
+
ارقام در مبنا
آموزش از طریق حل مسئله
تمرین ها
+
تبدیل اعداد صحیح بین مبناها
آموزش از طریق حل مسئله
تمرین ها
+
مسائل غیرمعمول مبنا
آموزش از طریق حل مسئله
تمرین ها
جمع بندی
مسائل مروری
مسائل چالشی (صفحه اول)
مسائل چالشی (صفحه دوم)
+
محاسبات مبنا
+
آشنایی
آموزش از طریق حل مسئله
+
جمع در مبنا
آموزش از طریق حل مسئله
تمرین ها
+
تفاضل در مبنا
آموزش از طریق حل مسئله
تمرین ها
+
ضرب در مبنا
آموزش از طریق حل مسئله
تمرین ها
+
تقسیم و بخش پذیری در مبنا
آموزش از طریق حل مسئله
تمرین ها
جمع بندی
مسائل مروری
مسائل چالشی
+
ارقام یکان
+
آشنایی
آموزش از طریق حل مسئله
+
ارقام یکان در محاسبات
آموزش از طریق حل مسئله
تمرین ها
+
ارقام یکان در مبناها
آموزش از طریق حل مسئله
تمرین ها
+
ارقام یکان همه جا!
آموزش از طریق حل مسئله
تمرین ها
جمع بندی
مسائل مروری
مسائل چالشی (صفحه اول)
مسائل چالشی (صفحه دوم)
+
کسرها و اعداد اعشاری
+
آشنایی
آموزش از طریق حل مسئله
+
اعداد اعشاری متناهی
آموزش از طریق حل مسئله
تمرین ها
+
اعداد اعشاری متناوب
آموزش از طریق حل مسئله
تمرین ها
+
تبدیل اعداد اعشاری به کسر
آموزش از طریق حل مسئله
تمرین ها
+
مبنا و اعداد اعشاری معادل
تمرین ها
آموزش از طریق حل مسئله
جمع بندی
مسائل مروری
مسائل چالشی
+
آشنایی با محاسبات پیمانه ای
+
آشنایی
آموزش از طریق حل مسئله
+
همنهشتی
آموزش از طریق حل مسئله
تمرین ها
+
باقی مانده
آموزش از طریق حل مسئله
تمرین ها
+
جمع و تفریق
آموزش از طریق حل مسئله
تمرین ها
+
ضرب و توان رسانی
آموزش از طریق حل مسئله
تمرین ها
+
الگوها و شناسایی ها
آموزش از طریق حل مسئله
تمرین ها
جمع بندی
مسائل مروری
مسائل چالشی
+
قوانین بخش پذیری
+
آشنایی
آموزش از طریق حل مسئله
+
قوانین بخش پذیری
آموزش از طریق حل مسئله
تمرین ها
+
قوانین بخش پذیری با جبر
آموزش از طریق حل مسئله
تمرین ها
جمع بندی
مسائل مروری
مسائل چالشی
+
معادله همنهشتی خطی
+
آشنایی
آموزش از طریق حل مسئله
+
معکوس پیمانه ای و معادلات همنهشتی خطی ساده
آموزش از طریق حل مسئله
تمرین ها
+
حل معادلات همنهشتی خطی
آموزش از طریق حل مسئله
تمرین ها
+
دستگاه معادلات همنهشتی خطی
آموزش از طریق حل مسئله
تمرین ها
جمع بندی
مسائل مروری
مسائل چالشی
+
درک عددی
+
آشنایی
آموزش از طریق حل مسئله
+
عامل های آشنا و بخش پذیری
آموزش از طریق حل مسئله
+
روش های جبری محاسبات
آموزش از طریق حل مسئله
+
حالت های مفید اعداد
آموزش از طریق حل مسئله
+
سادگی
آموزش از طریق حل مسئله
جمع بندی
مسائل مروری (صفحه اول)
مسائل مروری (صفحه دوم)
مسائل مروری (صفحه سوم)
راهنمایی مسائل ستاره دار
+
هنر حل مسئله: آشنایی با شمارش و احتمال
+
شمارش محاسباتی است
+
آشنایی
آموزش از طریق حل مسئله
+
شمارش دنباله ای از اعداد
آموزش از طریق حل مسئله
تمرین ها
+
شمارش با جمع و تفریق
آموزش از طریق حل مسئله
تمرین ها
+
شمارش چندین پیشامد
آموزش از طریق حل مسئله
تمرین ها
+
جایگشت ها
آموزش از طریق حل مسئله
تمرین ها
جمع بندی
مسائل مروری
مسائل چالشی
+
ترفندهای پایه ای شمارش
+
آشنایی
آموزش از طریق حل مسئله
+
اصل جمع
آموزش از طریق حل مسئله
تمرین ها
+
شمردن مکمل
آموزش از طریق حل مسئله
تمرین ها
+
شمارش ساختاری
آموزش از طریق حل مسئله
تمرین ها
+
شمارش با محدود کردن
تمرین ها
آموزش از طریق حل مسئله
جمع بندی
مسائل مروری
مسائل چالشی
+
اصلاح شمارش تکراری
+
آشنایی
آموزش از طریق حل مسئله
+
جایگشت با تکرار
آموزش از طریق حل مسئله
تمرین ها
+
شمارش جفت ها
آموزش از طریق حل مسئله
تمرین ها
+
شمارش با تقارن
آموزش از طریق حل مسئله
تمرین ها
جمع بندی
مسائل مروری
مسائل چالشی
+
گروه ها و ترکیب ها
+
آشنایی
آموزش از طریق حل مسئله
+
تشکیل گروه
آموزش از طریق حل مسئله
تمرین ها
+
چگونه ترکیب ها را محاسبه کنیم
آموزش از طریق حل مسئله
تمرین ها
+
اولین اتحاد ترکیبیاتی ما
آموزش از طریق حل مسئله
تمرین ها
جمع بندی
مسائل مروری
مسائل چالشی
+
چیزهای بیشتری از جایگشت
+
آشنایی
آموزش از طریق حل مسئله
+
مسیرها در شبکه
آموزش از طریق حل مسئله
تمرین ها
+
مسائل بیشتر تشکیل گروه
آموزش از طریق حل مسئله
تمرین ها
+
تمایز
آموزش از طریق حل مسئله
تمرین ها
جمع بندی
مسائل مروری
مسائل چالشی
+
برخی مسائل سخت تر شمارش
+
آشنایی
آموزش از طریق حل مسئله
+
مسائل
آموزش از طریق حل مسئله
جمع بندی
مسائل چالشی
+
آشنایی با احتمال
+
آشنایی
آموزش از طریق حل مسئله
+
مبانی احتمال
آموزش از طریق حل مسئله
تمرین ها
+
برآمدهای هم شانس
آموزش از طریق حل مسئله
تمرین ها
+
تکنیک های شمارش در مسائل احتمال
آموزش از طریق حل مسئله
تمرین ها
جمع بندی
مسائل مروری
مسائل چالشی
+
ترفند های پایه ای احتمال
+
آشنایی
آموزش از طریق حل مسئله
+
احتمال و جمع
آموزش از طریق حل مسئله
تمرین ها
+
احتمال های مکمل
آموزش از طریق حل مسئله
تمرین ها
+
احتمال و ضرب
آموزش از طریق حل مسئله
تمرین ها
+
احتمال با پیشامدهای وابسته
آموزش از طریق حل مسئله
تمرین ها
+
ستاره دنباله دار - یک مسئله سخت
آموزش از طریق حل مسئله
جمع بندی
مسائل مروری
مسائل چالشی
+
راجع بهش فکر کن!
+
آشنایی
آموزش از طریق حل مسئله
+
مسائل
آموزش از طریق حل مسئله
جمع بندی
مسائل چالشی
+
احتمال های هندسی
+
آشنایی
آموزش از طریق حل مسئله
+
احتمال با استفاده از طول ها
آموزش از طریق حل مسئله
تمرین ها
+
احتمال با استفاده از مساحت ها
آموزش از طریق حل مسئله
تمرین ها
جمع بندی
مسائل مروری
مسائل چالشی
+
امید ریاضی
+
آشنایی
آموزش از طریق حل مسئله
+
تعریف امید ریاضی
آموزش از طریق حل مسئله
تمرین ها
+
مسائل امید ریاضی
آموزش از طریق حل مسئله
تمرین ها
+
یک بازی جالب
آموزش از طریق حل مسئله
تمرین ها
جمع بندی
مسائل مروری
مسائل چالشی
+
مثلث پاسکال
+
آشنایی
آموزش از طریق حل مسئله
+
تشکیل مثلث پاسکال
آموزش از طریق حل مسئله
+
آن اعداد آشنا به نظر میرسند!
آموزش از طریق حل مسئله
تمرین ها
+
یک اتحاد ترکیبیاتی جالب
آموزش از طریق حل مسئله
تمرین ها
+
یک اتحاد ترکیبیاتی جالب دیگر
آموزش از طریق حل مسئله
تمرین ها
جمع بندی
مسائل مروری
مسائل چالشی
+
اتحاد چوشی-چی
+
آشنایی
آموزش از طریق حل مسئله
+
صورت مسئله
آموزش از طریق حل مسئله
+
راه قدم به قدم
آموزش از طریق حل مسئله
تمرین ها
+
راه زیرکانه
آموزش از طریق حل مسئله
تمرین ها
+
اتحاد
آموزش از طریق حل مسئله
تمرین ها
جمع بندی
مسائل مروری
مسائل چالشی
+
بسط دوجمله ای
+
آشنایی
آموزش از طریق حل مسئله
+
کمی جبر
آموزش از طریق حل مسئله
+
قضیه
آموزش از طریق حل مسئله
+
کاربردهای بسط دوجمله ای
آموزش از طریق حل مسئله
تمرین ها
+
استفاده از بسط دوجمله ای در اتحاد ها
آموزش از طریق حل مسئله
تمرین ها
جمع بندی
مسائل مروری
مسائل چالشی
+
مسائل چالشی تر
+
آشنایی
آموزش از طریق حل مسئله
+
مسائل
آموزش از طریق حل مسئله
مسائل چالشی (صفحه اول)
مسائل چالشی (صفحه دوم)
راهنمایی مسائل ستاره دار
+
هنر حل مسئله: شمارش و احتمال متوسطه
+
مروری بر مقدمات شمارش و احتمال
+
آشنایی
آموزش از طریق حل مسئله
+
ترفند های شمارشی پایه
آموزش از طریق حل مسئله
+
ترفندهای احتمالاتی پایه
آموزش از طریق حل مسئله
+
امید ریاضی
آموزش از طریق حل مسئله
+
مثلث پاسکال و بسط دوجمله ای
آموزش از طریق حل مسئله
+
یادداشت جمع بندی
آموزش از طریق حل مسئله
جمع بندی
+
مجموعه ها و منطق
+
آشنایی
آموزش از طریق حل مسئله
+
مجموعه ها
آموزش از طریق حل مسئله
تمرین ها
+
عملیات روی مجموعه ها
آموزش از طریق حل مسئله
تمرین ها
+
درستی و منطق
آموزش از طریق حل مسئله
تمرین ها
+
سور ها
آموزش از طریق حل مسئله
تمرین ها
جمع بندی
مسائل مروری
مسائل چالشی
+
اصل شمول و عدم شمول
+
آشنایی
آموزش از طریق حل مسئله
+
شمول و عدم شمول در دو مجموعه
آموزش از طریق حل مسئله
تمرین ها
+
شمول و عدم شمول در سه مجموعه
آموزش از طریق حل مسئله
تمرین ها
+
مسائل شمارش با اصل شمول و عدم شمول
آموزش از طریق حل مسئله
تمرین ها
+
تعمیم اصل شمول و عدم شمول
آموزش از طریق حل مسئله
تمرین ها
+
شمردن عناصر با بیشتر از یکی از چیزی
آموزش از طریق حل مسئله
تمرین ها
+
برخی مسائل سخت تر شمول و عدم شمول
آموزش از طریق حل مسئله
تمرین ها
جمع بندی
مسائل مروری
مسائل چالشی
+
شمارش ساختار یافته و تناظر یک به یک
+
آشنایی
آموزش از طریق حل مسئله
+
برخی مسائل پایه
آموزش از طریق حل مسئله
تمرین ها
+
مسائل سخت تر شمارش ساختار یافته
آموزش از طریق حل مسئله
تمرین ها
+
پایه های تناظر یک به یک
آموزش از طریق حل مسئله
تمرین ها
+
تناظر های یک به یک پیچیده تر
آموزش از طریق حل مسئله
تمرین ها
+
تناظر یک به یک هوشمندانه
آموزش از طریق حل مسئله
تمرین ها
جمع بندی
مسائل مروری
مسائل چالشی
+
اصل لانه کبوتری
+
آشنایی
آموزش از طریق حل مسئله
+
این مفهوم رایجی است!
آموزش از طریق حل مسئله
تمرین ها
+
مسائل پایه ای لانه کبوتری
آموزش از طریق حل مسئله
تمرین ها
+
مسائل پیشرفته تر لانه کبوتری
آموزش از طریق حل مسئله
تمرین ها
جمع بندی
مسائل مروری
مسائل چالشی
+
امید ریاضی ساختار یافته
+
آشنایی
آموزش از طریق حل مسئله
+
مثال های پایه ای
آموزش از طریق حل مسئله
تمرین ها
+
جمع کردن امید ریاضی ها به صورت ساختاری
آموزش از طریق حل مسئله
تمرین ها
+
یک کت و چندین وصله (تکرار)
آموزش از طریق حل مسئله
جمع بندی
مسائل مروری
مسائل چالشی
+
توزیع ها
+
آشنایی
آموزش از طریق حل مسئله
+
توزیع های پایه
آموزش از طریق حل مسئله
تمرین ها
+
توزیع با شروط اضافه
آموزش از طریق حل مسئله
تمرین ها
+
مسائل پیچیده تر توزیع
آموزش از طریق حل مسئله
تمرین ها
جمع بندی
مسائل مروری
مسائل چالشی
+
استقرای ریاضی
آموزش از طریق حل مسئله
مسائل مروری
مسائل چالشی
+
اعداد فیبوناچی
+
آشنایی
آموزش از طریق حل مسئله
+
یک مسئله انگیزشی
آموزش از طریق حل مسئله
+
تعدادی مسئله فیبوناچی
آموزش از طریق حل مسئله
تمرین ها
+
فرمولی برای اعداد فیبوناچی
آموزش از طریق حل مسئله
تمرین ها
جمع بندی
مسائل مروری
مسائل چالشی
+
بازگشت
+
آشنایی
آموزش از طریق حل مسئله
+
مثال هایی از بازگشت
آموزش از طریق حل مسئله
تمرین ها
+
دنباله های بازگشتی خطی
آموزش از طریق حل مسئله
تمرین ها
+
یک مسئله بازگشتی دشوار
آموزش از طریق حل مسئله
تمرین ها
+
مسائلی با دخالت اعداد کاتالان
آموزش از طریق حل مسئله
تمرین ها
+
فرمول اعداد کاتالان
آموزش از طریق حل مسئله
تمرین ها
جمع بندی
مسائل مروری
مسائل چالشی
+
احتمال شرطی
+
آشنایی
آموزش از طریق حل مسئله
+
مثال های پایه ای از احتمال شرطی
آموزش از طریق حل مسئله
تمرین ها
+
برخی تعاریف و نکات
آموزش از طریق حل مسئله
تمرین ها
+
مثال های دشوارتر
آموزش از طریق حل مسئله
تمرین ها
+
بیایید یک معامله کنیم
آموزش از طریق حل مسئله
تمرین ها
جمع بندی
مسائل مروری
مسائل چالشی
+
اتحادهای ترکیبیاتی
+
آشنایی
آموزش از طریق حل مسئله
+
اتحاد های پایه
آموزش از طریق حل مسئله
تمرین ها
+
اتحادهای بیشتر
آموزش از طریق حل مسئله
تمرین ها
جمع بندی
مسائل مروری
مسائل چالشی
+
رویدادها با وضعیت ها
+
آشنایی
آموزش از طریق حل مسئله
+
نمودار وضعیت و گشت تصادفی
آموزش از طریق حل مسئله
تمرین ها
+
رویداد هایی با بی نهایت وضعیت
آموزش از طریق حل مسئله
تمرین ها
+
بازی های استراتژیک دو نفره
آموزش از طریق حل مسئله
تمرین ها
جمع بندی
مسائل مروری
مسائل چالشی
+
توابع مولد
+
آشنایی
آموزش از طریق حل مسئله
+
مثال های پایه از توابع مولد
آموزش از طریق حل مسئله
تمرین ها
+
بسط دوجمله ای (به عنوان تابع مولد)
آموزش از طریق حل مسئله
تمرین ها
+
توزیع ها (به عنوان توابع مولد)
آموزش از طریق حل مسئله
تمرین ها
+
تابع مولد افراز
آموزش از طریق حل مسئله
تمرین ها
+
تابع مولد اعداد فیبوناچی
آموزش از طریق حل مسئله
جمع بندی
مسائل مروری
مسائل چالشی
+
نظریه گراف
+
آشنایی
آموزش از طریق حل مسئله
+
تعاریف
آموزش از طریق حل مسئله
+
ویژگی های پایه ی گراف
آموزش از طریق حل مسئله
تمرین ها
+
مسیر و دور
آموزش از طریق حل مسئله
تمرین ها
+
گراف های مسطح
آموزش از طریق حل مسئله
تمرین ها
+
مسیر های اویلری و همیلتونی
آموزش از طریق حل مسئله
تمرین ها
جمع بندی
مسائل مروری
مسائل چالشی
+
مسائل چالشی
مقدمه
مسائل (صفحه اول)
مسائل (صفحه دوم)
راهنمایی مسائل ستاره دار
+
هنر حل مسئله: پیش حسابان
+
مروری بر توابع
+
مقدمات توابع
آموزش از طریق حل مسئله
تمرین ها
+
ترسیم توابع
آموزش از طریق حل مسئله
تمرین ها
+
ترکیب
آموزش از طریق حل مسئله
تمرین ها
+
وارون توابع
آموزش از طریق حل مسئله
تمرین ها
جمع بندی
مسائل مروری (صفحه اول)
مسائل مروری (صفحه دوم)
مسائل چالشی
+
آشنایی با توابع مثلثاتی
مقدمه
+
دایره واحد
آموزش از طریق حل مسئله
تمرین ها
+
رادیان
آموزش از طریق حل مسئله
تمرین ها
+
نمودار توابع مثلثاتی
آموزش از طریق حل مسئله
تمرین ها
+
تبدیلات توابع مثلثاتی
آموزش از طریق حل مسئله
تمرین ها
+
وارون توابع مثلثاتی
آموزش از طریق حل مسئله
تمرین ها
جمع بندی
مسائل مروری (صفحه اول)
مسائل مروری (صفحه دوم)
مسائل چالشی
+
اتحادهای مثلثاتی
مقدمه
+
مقدمه ای بر اتحادهای مثلثاتی
آموزش از طریق حل مسئله
تمرین ها
+
جمع و تفاضل زوایا
آموزش از طریق حل مسئله
تمرین ها
+
دو برابر و نصف زوایا
آموزش از طریق حل مسئله
تمرین ها
+
"جمع به ضرب" و "ضرب به جمع"
آموزش از طریق حل مسئله
تمرین ها
+
حل مسئله با اتحادها
آموزش از طریق حل مسئله
تمرین ها
جمع بندی
مسائل مروری (صفحه اول)
مسائل مروری (صفحه دوم)
مسائل چالشی (صفحه اول)
مسائل چالشی (صفحه دوم)
+
کاربرد در هندسه
مقدمه
+
روابط مثلثاتی مثلث قائم الزاویه
آموزش از طریق حل مسئله
تمرین ها
+
قضیه کسینوس ها
آموزش از طریق حل مسئله
تمرین ها
+
قضیه سینوس ها
آموزش از طریق حل مسئله
تمرین ها
+
روابط مثلثاتی بیشتر
آموزش از طریق حل مسئله
تمرین ها
جمع بندی
مسائل مروری (صفحه اول)
مسائل مروری (صفحه دوم)
مسائل چالشی (صفحه اول)
مسائل چالشی (صفحه دوم)
+
پارامتری سازی و دستگاه های مختصات مثلثاتی
+
پارامتری سازی
آموزش از طریق حل مسئله
تمرین ها
+
مختصات قطبی
آموزش از طریق حل مسئله
تمرین ها
+
مختصات در سه بعد
آموزش از طریق حل مسئله
تمرین ها
جمع بندی
مسائل مروری (صفحه اول)
مسائل مروری (صفحه دوم)
مسائل چالشی
+
مقدمات اعداد مختلط
مقدمه
+
حساب اعداد مختلط
آموزش از طریق حل مسئله
تمرین ها
+
صفحه مختلط
آموزش از طریق حل مسئله
تمرین ها
+
بخش های حقیقی و موهومی
آموزش از طریق حل مسئله
تمرین ها
+
ریشه های غیر حقیقی چند جمله ای ها
آموزش از طریق حل مسئله
تمرین ها
جمع بندی
مسائل مروری (صفحه اول)
مسائل مروری (صفحه دوم)
مسائل چالشی
+
مثلثات و اعداد مختلط
+
نمایش قطبی اعداد مختلط
آموزش از طریق حل مسئله
تمرین ها
+
نمایش نمایی اعداد مختلط
آموزش از طریق حل مسئله
تمرین ها
+
ریشه های واحد
آموزش از طریق حل مسئله
تمرین ها
+
مسائل درگیر با ریشه های واحد
آموزش از طریق حل مسئله
تمرین ها
جمع بندی
تمرین ها
مسائل مروری (صفحه اول)
مسائل مروری (صفحه دوم)
مسائل چالشی (صفحه اول)
مسائل چالشی (صفحه دوم)
+
هندسه اعداد مختلط
مقدمه
+
تبدیلات در صفحه مختلط
آموزش از طریق حل مسئله
تمرین ها
+
خطوط موازی و عمود
آموزش از طریق حل مسئله
تمرین ها
+
فاصله
آموزش از طریق حل مسئله
تمرین ها
+
چند ضلعی های منتظم
آموزش از طریق حل مسئله
تمرین ها
+
قضایای کلاسیک
آموزش از طریق حل مسئله
جمع بندی
مسائل مروری (صفحه اول)
مسائل مروری (صفحه دوم)
مسائل چالشی (صفحه اول)
مسائل چالشی (صفحه دوم)
+
بردارها در دو بعد
+
بردار چیست؟
آموزش از طریق حل مسئله
تمرین ها
+
ضرب داخلی
آموزش از طریق حل مسئله
تمرین ها
+
خطوط و استقلال خطی
آموزش از طریق حل مسئله
تمرین ها
+
تصویر
آموزش از طریق حل مسئله
تمرین ها
جمع بندی
مسائل مروری (صفحه اول)
مسائل مروری (صفحه دوم)
مسائل چالشی
+
ماتریس ها در دو بعد
+
ماتریس چیست؟
آموزش از طریق حل مسئله
تمرین ها
+
ضرب ماتریس ها
آموزش از طریق حل مسئله
تمرین ها
+
ماتریس به عنوان تبدیل
آموزش از طریق حل مسئله
تمرین ها
+
دترمینان
آموزش از طریق حل مسئله
تمرین ها
+
تعبیر هندسی دترمینان
آموزش از طریق حل مسئله
تمرین ها
+
وارون ماتریس
آموزش از طریق حل مسئله
تمرین ها
جمع بندی
مسائل مروری (صفحه اول)
مسائل مروری (صفحه دوم)
مسائل چالشی (صفحه اول)
مسائل چالشی (صفحه دوم)
+
بردارها و ماتریس ها در سه بعد (بخش 1)
+
بردارها در سه بعد
آموزش از طریق حل مسئله
تمرین ها
+
ماتریس های "3 در 3"
آموزش از طریق حل مسئله
تمرین ها
+
دترمینان ماتریس های "3 در 3"
آموزش از طریق حل مسئله
تمرین ها
+
بیشتر از "2 در 2" و "3 در 3"
آموزش از طریق حل مسئله
تمرین ها
جمع بندی
مسائل مروری (صفحه اول)
مسائل مروری (صفحه دوم)
مسائل چالشی
+
بردارها و ماتریس ها در سه بعد (بخش 2)
+
خط و صفحه در سه بعد
آموزش از طریق حل مسئله
تمرین ها
+
صفحات بیشتر در سه بعد
آموزش از طریق حل مسئله
تمرین ها
+
ضرب خارجی
آموزش از طریق حل مسئله
تمرین ها
+
تعبیر هندسی دترمینان
آموزش از طریق حل مسئله
تمرین ها
+
وارون ماتریس "3 در 3"
آموزش از طریق حل مسئله
تمرین ها
جمع بندی
مسائل مروری (صفحه اول)
مسائل مروری (صفحه دوم)
مسائل چالشی
+
هندسه برداری
+
آشنایی
آموزش از طریق حل مسئله
تمرین ها
+
بردارها در مثلث
آموزش از طریق حل مسئله
تمرین ها
+
بردارها، اعداد مختلط و مسائل چالشی
آموزش از طریق حل مسئله
جمع بندی
مسئل چالشی (صفحه اول)
مسائل چالشی (صفحه دوم)
راهنمایی مسائل ستاره دار
+
هنر حل مسئله: حساب دیفرانسیل و انتگرال
+
مجموعه ها و توابع
مقدمه
+
مجموعه ها
طرح درس
تمرین ها
+
اعداد و بازه ها
طرح درس
تمرین ها
+
توابع
طرح درس
تمرین ها
+
نمودار توابع
طرح درس
تمرین ها
+
توابع مثلثاتی
طرح درس
تمرین ها
+
معادلات مثلثاتی مقدماتی
طرح درس
تمرین ها
+
توابع نمایی و لگاریتمی
طرح درس
تمرین ها
مسائل مروری
مسائل چالشی
ضمیمه: رابطه بین توابع مثلثاتی و نمایی
+
حد و پیوستگی
+
حد
طرح درس
تمرین ها
+
پیوستگی
طرح درس
تمرین ها
مسائل مروری
مسائل چالشی
ضمیمه: اثبات برخی نتایج پیوستگی
+
مشتق
مقدمه
+
معرفی شهودی
طرح درس
+
تعریف مشتق
طرح درس
تمرین ها
+
محاسبات مقدماتی مشتق
طرح درس
تمرین ها
+
قاعده زنجیری
طرح درس
تمرین ها
+
قضیه رل و مقدار میانگین
طرح درس
تمرین ها
+
مشتق گیری ضمنی
طرح درس
تمرین ها
+
جمع بندی محاسبه مشتق
طرح درس
مسائل مروری
مسائل چالشی
ضمیمه 1: اثبات قاعده زنجیری
ضمیمه 2: اثبات قضیه مقدار میانگین
+
کاربرد مشتق
مقدمه
+
تفسیر نموداری مشتق
طرح درس
تمرین ها
+
نقاط اکسترمم و بهینه سازی
طرح درس
تمرین ها
+
سرعت
طرح درس
تمرین ها
+
تقریب خط مماس
طرح درس
تمرین ها
+
روش نیوتون
طرح درس
تمرین ها
+
نرخ های وابسته
طرح درس
تمرین ها
مسائل مروری
مسائل چالشی
+
انتگرال
مقدمه
+
مساحت زیر نمودار
طرح درس
تمرین ها
+
قضیه اساسی حساب دیفرانسیل و انتگرال
طرح درس
تمرین ها
+
انتگرال نامعین
طرح درس
تمرین ها
+
کاربردهای انتگرال معین
طرح درس
تمرین ها
+
روش های تقریب
طرح درس
تمرین ها
مسائل مروری
مسائل چالشی
ضمیمه 1: تعریف فرمال log و exp
ضمیمه 2: قاعده سیمسون
+
بی نهایت
مقدمه
+
میل دادن به سمت بی نهایت
طرح درس
تمرین ها
+
میل کردن به سمت بی نهایت
طرح درس
تمرین ها
+
فرم های نامعین گویا و قانون هوپیتال
طرح درس
تمرین ها
+
فرم های نامعین نمایی
طرح درس
تمرین ها
+
انتگرال های نامعین
طرح درس
تمرین ها
مسائل مروری
مسائل چالشی
ضمیمه: اثبات قانون هوپیتال
+
سری ها
+
دنباله های نامتناهی
طرح درس
تمرین ها
+
سری های نامتناهی
طرح درس
تمرین ها
+
آزمون های همگرایی سری ها
طرح درس
تمرین ها
+
سری های متناوب
طرح درس
تمرین ها
+
چندجمله ای های تیلور
طرح درس
تمرین ها
+
سری تیلور
طرح درس
تمرین ها
مسائل مروری
مسائل چالشی
ضمیمه: یک فرمول عجیب برای پی
+
منحنی های مسطح
+
خم های پارامتری
طرح درس
تمرین ها
بیشتر بدانید
+
مختصات قطبی
طرح درس
تمرین ها
+
مساحت در مختصات قطبی
طرح درس
تمرین ها
مسائل مروری
مسائل چالشی
+
معادلات دیفرانسیل
+
تعاریف و مثال های ابتدایی
طرح درس
تمرین ها
+
معادلات دیفرانسیل خطی مرتبه دوم
طرح درس
تمرین ها
مسائل مروری
مسائل چالشی
ضمیمه: روش اویلر
+
ریاضی 1
+
عدد
مقدمه
+
عدد چیست؟
طرح درس
تمرین ها
+
اعداد حقیقی
طرح درس
تمرین ها
+
عملیات جبری و ترسیم های هندسی
طرح درس
تمرین ها
جمع بندی
+
اعداد مختلط (1)
طرح درس
تمرین ها
+
اعداد مختلط (2)
طرح درس
تمرین ها
+
اعداد مختلط و تبدیلات هندسی
طرح درس
تمرین ها
+
دنباله های عددی
طرح درس
تمرین ها
+
تابع، محاسبه و تقریب
مقدمه
+
پایداری محاسبه
طرح درس
تمرین ها
+
تابع های پیوسته؛ مثال های ابتدایی
طرح درس
تمرین ها
+
خواص تابع های پیوسته (1)
طرح درس
تمرین ها
+
خواص تابع های پیوسته (2)
طرح درس
تمرین ها
+
مفهوم حد
طرح درس
تمرین ها
+
مشتق
مقدمه
+
مفهوم مشتق
طرح درس
تمرین ها
+
نتایج اولیه مشتق پذیری
طرح درس
تمرین ها
+
قاعده زنجیری، نمادگذاری لایب نیتس
طرح درس
تمرین ها (صفحه اول)
تمرین ها (صفحه دوم)
+
تقریب خطی
طرح درس
تمرین ها
+
نمودار تابع و کاربرد های آن
طرح درس
تمرین ها
+
بهینه سازی
طرح درس
تمرین ها
+
چندجمله ای تیلور و تقریب های مرتبه بالا
طرح درس
تمرین ها
+
انتگرال
مقدمه
+
مفهوم انتگرال
طرح درس
تمرین ها
+
قضیه بنیادی حساب دیفرانسیل و انتگرال
طرح درس
تمرین ها (صفحه اول)
تمرین ها (صفحه دوم)
+
برخی کاربردهای انتگرال
طرح درس
تمرین ها
+
دو قضیه مهم انتگرال
طرح درس
تمرین ها (صفحه اول)
تمرین ها (صفحه دوم)
+
انتگرال توابع گویا
طرح درس
تمرین ها
+
تابع نمایی
طرح درس
تمرین ها (صفحه اول)
تمرین ها (صفحه دوم)
+
محاسبه تقریبی انتگرال
طرح درس
تمرین ها
+
انتگرال های ناسره
طرح درس
تمرین ها (صفحه اول)
تمرین ها (صفحه دوم)
+
معادلات دیفرانسیل
مقدمه
+
مدل های رشد و زوال
طرح درس
تمرین ها
+
میدان شیب، قضیه بنیادی و دستگاه های تعینی
طرح درس
تمرین ها
+
تابع های متعالی و معادلات دیفرانسیل
طرح درس
تمرین ها
+
سری های عددی و تابعی
مقدمه
+
سری های عددی (1)
طرح درس
تمرین ها
+
سری های عددی (2)
طرح درس
تمرین ها
+
سری های توانی و توابع تحلیلی (1)
طرح درس
تمرین ها
+
سری های توانی و توابع تحلیلی (2)
طرح درس
تمرین ها
+
سری فوریه
طرح درس
تمرین ها
+
ریاضی 2
+
فضا
مقدمه
+
فضای حقیقی n بعدی
طرح درس
تمرین ها
+
زیرفضاهای مستوی R به توان n
طرح درس
تمرین ها
+
ضرب داخلی و هندسه اقلیدسی در R به توان n
طرح درس
تمرین ها (صفحه اول)
تمرین ها (صفحه دوم)
+
نگاشت خطی (1)
طرح درس
تمرین ها
+
نگاشت خطی (2)
طرح درس
تمرین ها (صفحه اول)
تمرین ها (صفحه دوم)
+
مساحت، حجم و ضرب خارجی در R به توان 3
طرح درس
تمرین ها (صفحه اول)
تمرین ها (صفحه دوم)
+
حجم و دترمینان در R به توان n
طرح درس
تمرین ها
+
ویژه مقدار و ویژه راستا
طرح درس
تمرین ها (صفحه اول)
تمرین ها (صفحه دوم)
+
نگاشت های خطی خاص
طرح درس
تمرین ها
+
هندسه خم های هموار
مقدمه
+
خم های هموار در R به توان n: کلیات
طرح درس
تمرین ها
+
انحنای خم
طرح درس
تمرین ها
+
خم های فضایی
طرح درس
تمرین ها
+
توابع چند متغیره
مقدمه
+
نمایش توابع چند متغیره
طرح درس
تمرین ها
+
ابررویه های درجه دوم
طرح درس
تمرین ها
+
پیوستگی و حد
طرح درس
تمرین ها
+
مشتق توابع چند متغیره و کاربرد های آن
مقدمه
+
مفاهیم مشتق
طرح درس
تمرین ها (صفحه اول)
تمرین ها (صفحه دوم)
+
نگاشت های مشتق پذیر
طرح درس (صفحه اول)
طرح درس (صفحه دوم)
تمرین ها (صفحه اول)
تمرین ها (صفحه دوم)
+
مشتق های پاره ای مرتبه بالا
طرح درس
تمرین ها (صفحه اول)
تمرین ها (صفحه دوم)
+
توابع ضمنی و معکوس
طرح درس
تمرین ها (صفحه اول)
تمرین ها (صفحه دوم)
+
بهینه سازی و مباحث مربوط به آن
طرح درس
تمرین ها
+
انتگرال چندمتغیره
مقدمه
+
مفهوم انتگرال چندمتغیره
طرح درس
تمرین ها
+
محاسبه انتگرال چندمتغیره
طرح درس
تمرین ها
+
تعویض متغیر و انتگرال ناسره
طرح درس
تمرین ها (صفحه اول)
تمرین ها (صفحه دوم)
تمرین ها (صفحه سوم)
+
آنالیز برداری
مقدمه
+
میدان برداری
طرح درس
تمرین ها (صفحه اول)
تمرین ها (صفحه دوم)
+
انتگرال روی خم
طرح درس
تمرین ها
+
قضایای انتگرال در صفحه
طرح درس
تمرین ها
+
انتگرال روی رویه
طرح درس
تمرین ها
+
قضایای انتگرال در فضا
طرح درس
تمرین ها (صفحه اول)
تمرین ها (صفحه دوم)
هنر حل مساله
راه های ارتباطی
Enter Title